Aperçu des gammes de modèles de radiateurs à panneaux Prado

Prado (radiateur): avis, spécifications, fabricant, connexion | informations utiles pour tous

La programmation

Aperçu des gammes de modèles de radiateurs à panneaux PradoCaractéristiques de conception des différents types de radiateurs

Le catalogue de la société comprend des modèles Classic et Universal. Les produits sont délivrés avec un eye-liner latéral et inférieur. Le fabricant propose une large gamme de tailles standard, vous permettant de concevoir un système de chauffage optimal. Structurellement, les appareils se composent d'un, deux ou trois panneaux, plus des ailettes. Le catalogue de l'entreprise contient plusieurs types de radiateurs. Ils diffèrent par la profondeur, le nombre de panneaux, la présence d'ailettes.

Variétés de batteries Prado :

  • Le type 10 est le modèle le plus étroit (72 mm), composé d'une rangée de panneaux. Son plus est son prix abordable. Les inconvénients incluent une petite capacité de chauffage.
  • Type 11 - les ailettes sont soudées à l'arrière du panneau à une rangée. Le produit est équipé d'une grille de sortie d'air et de lamelles latérales.
  • Le type 20 est un radiateur à deux panneaux mais sans ailettes de convection. Il y a une grille sur le dessus. Profondeur 82 mm.

  • Type 21 - le modèle se compose de deux panneaux et d'ailerons entre eux. Le radiateur a reçu toutes les garnitures nécessaires - grille et inserts latéraux.
  • Type 22 - les pièces embouties sont disposées en deux rangées, un convecteur nervuré est soudé à chacune. La profondeur du produit est de 108 mm, une grille est installée sur le dessus et il y a des lattes sur les côtés.
  • Le type 30 est un radiateur à trois rangées sans ailettes. Le modèle avec la lettre "Z" est proposé sans calandre ni flancs. Version V avec raccordement vertical.
  • Type 33 - trois rangées de panneaux nervurés forment une profondeur de 172 mm. Le radiateur est entièrement équipé d'éléments de finition.

Classique du Prado

Aperçu des gammes de modèles de radiateurs à panneaux PradoLes radiateurs Prado Classic sont utilisés dans les réseaux de communication bitubes et monotubes. Ils peuvent être installés dans des systèmes gravitaires et fonctionner avec des stations de pompage. Sur quatre côtés du produit, il y a des trous pour la tuyauterie latérale. Les radiateurs Classic sont présentés dans tous les types. Leur caractéristique est l'absence d'exécution à droite et à gauche. Le radiateur ne peut être connecté que d'un côté, une prise est placée sur le second.

Pour les institutions ayant des exigences accrues en matière de propreté, des radiateurs hygiéniques Z sont conçus. Ils sont dépourvus de nervures, de parois latérales et de grilles. Lors du marquage des produits, leur type et leurs dimensions sont indiqués. Par exemple : modèle Prado Classic 22-500-500 - radiateur avec raccordement latéral type 22, longueur 500 mm, largeur 500 mm.

Prado Universel

Aperçu des gammes de modèles de radiateurs à panneaux PradoL'avantage des piles universelles est un eye-liner universel. La conception permet une connexion par le bas, cachant les tuyaux de chauffage. L'option de commutation à travers 4 trous de connexion dans les coins de l'appareil est possible.Les produits sont fabriqués en différents types, allant d'une rangée à trois rangées. La série Z d'appareils de chauffage hygiéniques est également disponible. Les appareils sont équipés de tuyaux de raccordement sur les côtés droit et gauche, ce qui simplifie l'installation. Les radiateurs Steel Prado Universal sont équipés de thermostats Danfoss qui contrôlent leur puissance. Les vannes sont conçues pour un système à deux tubes. Lors de l'installation de batteries dans un réseau monotube, des modèles avec une résistance réduite du thermostat sont sélectionnés.

Caractéristiques des batteries Prado

Production

Pour vous faire une idée des produits en question, vous devez tout d'abord vous familiariser avec les caractéristiques de production, qui sont énumérées ci-dessous :

  • Comme mentionné ci-dessus, les batteries Prado sont fabriquées dans des conditions d'usine dans les installations de la société Progress. La principale matière première des appareils de chauffage est l'acier à haute teneur en carbone d'au moins 1,2 à 1,4 mm d'épaisseur. La fabrication des radiateurs commence par la découpe de tôles d'acier selon les dimensions des futurs radiateurs.
  • Ensuite, les pièces sont soumises à un traitement sous pression dans une machine à emboutir, à la suite de quoi elles acquièrent le profil requis.
  • Deux flans estampés sont soudés ensemble à l'aide d'une technologie moderne pour former un panneau. Les radiateurs de chauffage Prado, selon le modèle, peuvent contenir un, deux ou même trois panneaux de ce type, entre lesquels sont soudées des ailettes en acier plus fin, ce qui augmente le transfert de chaleur de l'appareil.

Les produits finis sont d'abord peints par électro-immersion, après quoi une peinture en poudre stable leur est appliquée. Grâce à cela, les produits sont non seulement attrayants, mais sont également protégés de manière fiable contre la corrosion.

Aperçu des gammes de modèles de radiateurs à panneaux Prado

Grille de radiateur pour la convection d'air

Avantages

La popularité des radiateurs Prado est associée aux avantages suivants :

  • Le faible poids de la structure facilite l'installation soi-même. De plus, les supports de fixation sont très pratiques, la seule chose avant d'installer la batterie, vous devez vous familiariser avec le schéma de fixation.
  • Dissipation thermique efficace et taux de chauffage élevé.
  • Les batteries à panneau sont attrayantes et, grâce à l'utilisation d'une peinture de haute qualité, elles conservent longtemps leur couleur blanche.
  • Les modèles à plusieurs panneaux assurent la convection de l'air, ce qui augmente l'efficacité du chauffage.
  • Le prix est assez démocratique.
  • Durabilité soumise aux règles de fonctionnement.

Aperçu des gammes de modèles de radiateurs à panneaux Prado

Radiateur Prado à l'intérieur de la pièce

Défauts

Les inconvénients des radiateurs Prado sont liés aux caractéristiques de conception, ils sont donc communs à tous les radiateurs à panneaux.

En particulier, les points suivants peuvent être mis en évidence :

  • Les appareils ne sont pas destinés à être utilisés dans des systèmes de chauffage centralisés, car ils ne peuvent pas résister aux hautes pressions et aux coups de bélier, et ils ont également besoin d'un liquide de refroidissement propre.
  • La température du liquide de refroidissement ne doit pas dépasser 120 degrés Celsius.
  • Les instructions d'utilisation des appareils ne recommandent pas de vidanger l'eau du système, car cela peut provoquer de la corrosion à l'intérieur des panneaux.
  • L'impossibilité de régler avec précision la température de chauffage, même dans les modèles équipés d'un thermostat.
  • Sur certains modèles, des problèmes de vernis ont été constatés.

Bien sûr, de nombreux modèles de batteries de chauffage modernes sont dépourvus des inconvénients ci-dessus, cependant, si l'on compare le rapport qualité / prix, les radiateurs Prado gagnent clairement. La seule chose dont vous devez vous assurer avant d'acheter est que les caractéristiques du système de chauffage correspondent à celles des radiateurs.

Aperçu des gammes de modèles de radiateurs à panneaux Prado

Schéma des conceptions de la gamme de modèles de radiateurs Prado

Caractéristiques d'installation et de fonctionnement

Les tuyaux de branchement latéraux pour les tuyaux de raccordement ont un filetage intérieur d'un diamètre de ?, ils sont situés deux à deux des deux côtés. Tout type de connexion. Mais avec une longueur supérieure à 1400 mm, une liaison unilatérale latérale ou inférieure de la selle devient inefficace. Avec une longueur accrue, un raccordement en diagonale est recommandé (alimentation d'un côté par le haut, soutirage du côté opposé, par le bas). Comment connecter les radiateurs lire ici.

Lire aussi :  Quelle batterie de chauffage vaut-il mieux acheter pour un immeuble à appartements?

Aperçu des gammes de modèles de radiateurs à panneaux Prado

Lors de l'installation d'un radiateur avec une connexion inférieure, vous ne pouvez pas confondre l'alimentation avec le retour - il ne chauffera pas

Dans les options avec une connexion inférieure (en bas) du liquide de refroidissement, il faut tenir compte du fait que l'alimentation est la deuxième entrée à partir du bord latéral, le «retour» est toujours sur le bord. Il est impossible de changer de place: un tube est soudé à l'entrée d'alimentation, qui transporte le liquide de refroidissement chaud vers le collecteur supérieur, et de là, il se propage à travers tous les canaux verticaux.

Pour l'installation des radiateurs à panneaux Prado, le fabricant recommande d'utiliser les supports inclus dans le kit : ils sont conçus spécifiquement pour ces radiateurs. Ils sont insérés dans des rainures spéciales sur la paroi arrière du panneau. Les supports peuvent être 2 ou 3 selon la longueur de la batterie. Il est possible de l'installer sur pieds, pas au mur. Mais les jambes de marque sont commandées séparément.

La séquence d'installation est la suivante :

  • sur un mur plat préparé, les emplacements d'installation des supports sont marqués;
  • les supports sont déballés ;
  • renforcé avec des chevilles ou du mortier sur le mur;
  • un robinet Mayevsky (obligatoire) ou un purgeur d'air automatique, le cas échéant, un thermostat ou des bouchons, si nécessaire, des adaptateurs, est installé sur le radiateur;
  • dans les lieux d'accrochage aux supports, l'emballage des radiateurs est déchiré, ils sont installés en place;
  • les canalisations d'alimentation et d'évacuation du liquide de refroidissement sont connectées;
  • Les emballages entièrement en polyéthylène sont retirés après les travaux de finition.

    Distances recommandées pour le montage de radiateurs panneaux de différentes profondeurs

Si des radiateurs avec une connexion inférieure sont installés, afin que des poches d'air ne se forment pas lors du remplissage du système, il est nécessaire de le remplir par le «retour», tout en ouvrant les thermostats.

Lorsqu'elle est utilisée comme eau caloporteuse, elle doit respecter les paramètres suivants :

  • oxygène pas plus de 0,02 mg/kg;
  • fer jusqu'à 0,5 mg/l;
  • autres impuretés pas plus de 7 mg/l;
  • dureté totale jusqu'à 7 mg-eq/l.

Comme la plupart des radiateurs (à l'exception de ceux en fonte), ceux en acier sont négativement affectés par les temps d'arrêt "à sec" sans liquide de refroidissement. Les vidanges fréquentes à court terme sont particulièrement mauvaises, par exemple lors de la réparation du système. La durée totale des appareils de chauffage sans eau ne doit pas dépasser 15 jours par an.

Les radiateurs en acier sont compatibles avec tout type de tuyaux, seulement ils doivent être connectés aux tuyaux en cuivre par des raccords et des adaptateurs en laiton ou en bronze.

Aperçu des gammes de modèles de radiateurs à panneaux Prado

Ces appareils de chauffage sont bons avec une faible profondeur

Aperçu du marché des radiateurs en aluminium

La Chine, comme toujours, se démarque : les batteries produites dans ce pays sont assez bon marché, mais leur qualité est très instable.

Aperçu des gammes de modèles de radiateurs à panneaux Prado

Conception de batterie "Nova Florida"

En ce qui concerne les marques spécifiques, vous pouvez faire attention aux éléments suivants :

  • Nova Florida (Italie) est l'une des meilleures gammes du marché. Les radiateurs italiens avec anodisation interne se distinguent par une dissipation thermique élevée (jusqu'à 185 W), une bonne résistance à la corrosion et sont également capables de résister à des pressions allant jusqu'à 20 bars.La garantie du fabricant pour toutes les pannes de fonctionnement varie de 10 à 20 ans, selon le modèle.
  • Global (Italie) est une autre marque digne de ce nom. La principale différence de cette ligne est la grille dimensionnelle élargie: en plus des batteries standard avec un entraxe de 500 mm, vous pouvez également trouver des panneaux chauffants de deux mètres qui assurent le transfert de chaleur de la section au niveau de 450-500 W. Radiateur Global avec hauteur de section augmentée à 800 mm
  • Fondital (Italie) - tout comme les deux variétés précédentes, elles sont produites à l'aide de la technologie de moulage par compression. Les produits se caractérisent par un transfert de chaleur assez élevé, comme pour les modèles standard - 210 W par section de 0,5 m de haut.D'autres avantages incluent une conception modulaire, des joints améliorés et un poids relativement faible.
  • Radena (Italie). Le coût de tels appareils est légèrement supérieur à la moyenne, mais en même temps, les spécialistes ne se posent aucune question sur la qualité: les batteries supportent bien une pression de travail allant jusqu'à 16 bars, ont un transfert de chaleur de l'ordre de 170 à 195 W et résiste bien à la corrosion.
  • Oasis (Fédération de Russie) - produits nationaux dignes d'intérêt qui sont fabriqués à l'aide de la méthode d'extrusion. Les batteries ont une bonne durée de vie (à partir de 15 ans) et un coût modéré.

Aperçu des gammes de modèles de radiateurs à panneaux Prado

Modèle porté "Thermique"

Thermal (RF) est une autre marque nationale. Les radiateurs de type sectionnel sont disponibles dans une grille dimensionnelle assez large. Les produits se caractérisent par de bonnes performances (pression de travail jusqu'à 22 bar, transfert de chaleur 160 - 170 W).

À propos de la société

L'entreprise qui fabrique les radiateurs en question a une histoire assez riche, car elle a été fondée dans la ville d'Izhevsk en 1959. NITI "Progress" était à l'époque l'un des leaders de la pensée technique et technique de l'URSS.Après l'effondrement de l'Union soviétique, l'entreprise a subi une réorganisation et un reprofilage.

Il convient de noter que la production de radiateurs de chauffage en acier dans les installations de production de NITI Progress a été maîtrisée relativement récemment - en 2005. Dans le même temps, la marque Prado est née. Parallèlement à cela, une maison de commerce a été ouverte à Izhevsk, dont la tâche principale était de promouvoir les radiateurs Prado sur le marché intérieur.

À ce jour, les batteries chauffantes fabriquées sous cette marque ont gagné en popularité non seulement en Fédération de Russie, mais également dans d'autres pays de la CEI. De plus, les produits de la maison de commerce Prado ont été récompensés à plusieurs reprises par des coupes d'expositions industrielles et ont été récompensés par des diplômes.

Pourquoi le chauffage au sol est-il avantageux ?

Le principal avantage du chauffage au sol par rapport à tous les autres types de chauffage est qu'il est caché et qu'il est idéal pour les familles avec de jeunes enfants. En plus du fait que les bébés peuvent ramper en toute sécurité pour leur santé, ils ne se brûleront pas sur des sources de chaleur bien cachées sous la finition. Dans la pièce où le chauffage au sol est installé, les courants d'air ne « marchent » pas.

Le chauffage au sol permet de réduire les dépenses de chauffage dans les habitations à très grande hauteur sous plafond, où il est difficile d'organiser rationnellement le chauffage de tout le volume de la pièce. Dans les appartements, situés au rez-de-chaussée, au-dessus de sous-sols froids et humides, des sols chauds procureront un microclimat confortable.

Aperçu des gammes de modèles de radiateurs à panneaux Prado

De plus, ils n'assèchent pas l'air, ce qui est particulièrement apprécié des personnes sensibles sujettes aux allergies. Lorsque les sols chauds sont un type de chauffage autonome, ils seront utiles lors des journées froides hors saison. Les carreaux de céramique, même avec le meilleur système de chauffage, restent froids et l'utilisation de sols chauds sera utile ici.

Lire aussi :  Vue d'ensemble des radiateurs de chauffage Kermi

Ainsi, la décision d'installer un chauffage au sol est dans l'intérêt de la santé des membres de la famille.

Il est important de choisir quel système est préférable d'appliquer

Aperçu des gammes de modèles de radiateurs à panneaux Prado

Apparence et dimensions du diesel Toyota Prado

La liste des caractéristiques de la voiture 2009 comprend de grands passages de roue et de nombreuses autres lignes et formes inhabituelles. La version restylée de 2013 a de nouvelles optiques et la calandre a changé, qui a une finition différente pour les niveaux de finition individuels.

Dans la version de base, le faux radiateur est noir, dans le reste - avec un éclat argenté ou métallique. Changement du pare-chocs et de la ligne de couleurs de carrosserie. Les dernières versions du SUV diesel Prado 150 se distinguent par la partie avant, les feux arrière et le pare-chocs.

Les dimensions de la carrosserie du premier diesel Prado 150 sont de 4760x1885x1845 mm (longueur, largeur, hauteur). Le modèle a été assemblé sur la plate-forme de la série 120 et augmenté par rapport au précédent Prada. En 2013, la longueur de la voiture a augmenté de 2 cm, laissant 4,78 m.Les dernières voitures sont devenues encore plus longues - 4,84 m.

Capacité et poids

*/** *-Poids (kg) **-Capacité (l)

  H=300
  10 11 20 21 22 30 33
400 2,95/0,75 4,05/0,75 5,70/1,5 6,38/1,5 7,43/1,5 9,03/2,25 11,24/2,25
500 3,51/0,94 4,83/0,94 6,87/1,88 7,72/1,88 8,96/1,88 10,79/2,82 13,55/2,82
600 4,07/1,13 5,61/1,13 8,04/2,26 9,06/2,26 10,49/2,26 12,55/3,39 15,86/3,39
700 4,63/1,32 6,39/1,32 9,21/2,64 10,40/2,64 12,02/2,64 14,35/3,96 18,17/3,96
800 5,19/1,51 7,17/1,51 10,38/3,02 11,74/3,02 13,55/3,02 16,11/4,53 20,48/4,53
900 5,75/1,7 7,95/1,7 11,55/3,4 13,08/3,4 15,08/3,4 17,87/5,1 22,79/5,1
1000 6,31/1,89 8,73/1,89 12,72/3,78 14,42/3,78 16,61/3,78 19,63/5,67 25,10/5,67
1100 6,87/2,08 9,51/2,08 13,89/4,16 15,76/4,16 18,14/4,16 21,39/6,24 27,41/6,24
1200 7,43/2,27 10,29/2,27 15,19/4,54 17,23/4,54 19,86/4,54 23,49/6,81 30,03/6,81
1300 7,99/2,46 11,07/2,46 16,36/4,92 18,57/4,92 21,39/4,92 25,25/7,38 32,34/7,38
1400 8,55/2,65 11,85/2,65 17,53/5,3 19,91/5,3 22,92/5,3 27,01/7,95 34,65/7,95
1500 9,11/2,84 12,63/2,84 18,70/5,68 21,25/5,68 24,45/5,68 28,78/8,59 36,96/8,52
1600 9,67/3,03 16,41/3,03 19,94/6,06 22,66/6,06 26,07/6,06 30,81/9,09 39,51/9,09
1700 10,23/3,22 14,19/3,22 21,11/6,44 24,00/6,44 27,60/6,44 32,57/9,66 41,82/9,66
1800 10,92/3,41 15,07/3,41 22,36/6,82 25,42/6,82 29,21/6,82 34,33/10,23 44,13/10,23
1900 11,48/3,6 15,85/3,6 23,53/7,2 26,76/7,2 30,74/7,2 36,09/10,8 46,44/10,8
2000 12,04/3,79 16,63/3,79 24,70/7,58 28,10/7,58 32,27/7,58 37,88/11,37 48,75/11,37
2200 13,16/4,17 18,19/4,17 27,04/8,34 30,78/8,34 35,33/8,34 40,53/12,51 53,37/12,51
2400 14,28/4,55 19,75/4,55 29,38/9,1 33,46/9,1 38,89/9,1 44,00/13,65 57,99/13,65
2600 15,40/4,93 21,31/4,93 31,72/9,86 36,14/9,86 41,45/9,86 47,44/14,79 62,61/14,79
2800 16,52/5,31 22,87/5,31 34,06/10,62 38,82/10,62 44,51/10,62 50,89/15,93 67,23/15,93
3000 17,64/5,69 24,43/5,69 36,40/11,38 41,50/11,38 47,57/11,38 54,36/17,07 71,85/17,07
  H=500
  10 11 20 21 22 30 33
400 4,47/1,12 6,35/1,12 8,92/2,25 10,20/2,25 11,93/2,25 13,96/3,37 18,04/3,37
500 5,41/1,4 7,66/1,4 10,85/2,82 12,45/2,82 14,52/2,82 16,86/4,21 21,94/4,21
600 6,35/1,68 8,97/1,68 12,78/3,38 14,70/3,38 17,11/3,38 19,76/5,05 25,84/5,05
700 7,29/1,96 10,28/1,96 14,71/3,94 16,95/3,94 19,70/3,94 22,67/5,89 29,74/5,89
800 8,23/2,24 11,59/2,24 16,64/4,5 19,20/4,5 22,29/4,5 25,54/6,74 33,64/6,74
900 9,17/2,52 12,90/2,52 18,57/5,07 21,45/5,07 24,88/5,07 28,44/7,58 37,54/7,58
1000 10,11/2,8 14,21/2,8 20,50/5,63 23,70/5,63 27,47/5,63 31,34/8,42 41,44/8,42
1100 11,05/3,08 15,52/3,08 22,43/6,19 25,95/6,19 30,06/6,19 34,24/9,26 45,34/9,26
1200 11,99/3,36 16,83/3,36 24,49/6,76 28,33/6,76 32,84/6,76 37,42/10,11 49,55/10,11
1300 12,93/3,64 18,14/3,64 26,42/7,32 30,58/7,32 35,43/7,32 40,32/10,95 53,45/10,95
1400 13,87/3,92 19,45/3,92 28,35/7,88 32,83/7,88 38,02/7,88 43,22/11,80 57,35/11,8
1500 14,81/4,2 20,76/4,2 30,28/8,44 35,08/8,44 40,61/8,44 46,13/12,64 61,25/12,64
1600 15,75/4,48 22,07/4,48 32,28/9,01 37,40/9,01 43,29/9,01 49,27/13,48 65,39/13,48
1700 16,69/4,76 23,38/4,76 34,21/9,58 39,65/9,58 45,88/9,58 52,14/14,32 49,29/14,32
1800 17,76/5,04 24,79/5,04 36,22/10,14 41,98/10,14 48,55/10,14 55,04/15,17 73,19/15,17
1900 18,70/5,32 26,10/5,32 38,15/10,7 44,23/10,7 51,14/10,7 57,94/16,01 77,09/16,01
2000 19,64/5,6 27,41/5,6 40,08/11,27 46,48/11,27 53,73/11,27 60,84/16,85 80,99/16,85
2200 21,52/6,16 30,30/6,16 43,94/12,39 50,98/12,39 58,91/12,39 65,74/15,54 88,79/18,54
2400 23,40/6,72 32,65/6,72 47,80/13,52 55,48/13,52 64,09/13,52 71,46/20,22 96,59/20,22
2600 25,28/7,28 35,27/7,28 51,66/14,64 59,98/14,64 69,27/14,64 77,15/21,91 104,39/21,91
2800 27,16/7,84 37,89/7,84 55,52/15,77 64,48/15,77 74,45/15,77 82,88/23,60 112,19/23,6
3000 29,04/8,4 40,51/8,4 59,38/16,9 68,98/16,9 79,63/16,9 88,60/25,28 119,99/25,28

Aperçu des différents types de radiateurs de la marque Prado

Aperçu des gammes de modèles de radiateurs à panneaux Prado

En vente, vous pouvez trouver des modèles de radiateurs Prado avec différentes caractéristiques de conception. Si le fabricant a indiqué la désignation «Type 10» dans le passeport du produit, cela indique que vous disposez d'un appareil à une rangée sans ailettes de convection. Dans ce cas, des parois latérales seront présentes, mais il n'y aura pas de grille de sortie d'air.

Les radiateurs Prado sont également produits avec la désignation "Type 11" et sont des panneaux à une rangée avec une rangée d'ailettes. Il est renforcé vers l'arrière, possède des parois latérales et une grille de sortie d'air.Si vous n'avez pas besoin d'ailettes de convection, ainsi que de grille et de parois latérales, vous devez acheter un modèle à deux rangées, désigné par "Type 20 Z". Une rangée d'ailettes de convection, une grille de sortie d'air et des parois latérales sont autant d'équipements désignés par le constructeur comme "Type 21". Les radiateurs à panneaux de la marque Prado sont disponibles en 4 autres variétés, ils sont désignés comme suit :

  • Tapez 22.
  • Tapez 30Z.
  • Tapez 30.
  • Tapez 33.

Matériel de chauffage en aluminium

Bien que de nombreux experts proposent aux acheteurs d'acheter des radiateurs de chauffage bimétalliques Raden, ce n'est pas une règle obligatoire. L'aluminium en tant que matériau de fabrication est assez bon en termes de production de chaleur et d'un certain nombre d'autres caractéristiques importantes. Si l'environnement de travail le permet, l'application se justifie. Certaines règles doivent encore être prises en compte.

Les radiateurs en aluminium de Radena sont utilisés dans les systèmes basés sur le chauffage de l'eau. Bâtiments - administratifs, résidentiels, publics. Convient aux bâtiments de faible hauteur.

Processus de production et coût

Il est temps de parler de choses plus sérieuses. Commençons par un petit contexte, à savoir que les radiateurs de chauffage en aluminium de Raden sont fabriqués à partir d'un certain nombre de sections. Ces derniers sont coulés sous haute pression. Ensuite, ils sont combinés en un seul ensemble. Pour cela, des mamelons en acier et des joints d'un type spécial sont utilisés.

Aperçu des gammes de modèles de radiateurs à panneaux Prado

Radiateur aluminium Radena 500.

La coloration de la production est faite d'époxy polyester. Appliquez quelques couches. Si vous êtes versé dans diverses subtilités techniques, nous ajoutons que deux méthodes sont utilisées pour créer un revêtement protecteur. La première est la cataphorèse. La seconde est la pulvérisation électrostatique.On parle d'émail sous forme de poudre. À la toute fin, le produit est recouvert d'une composition de peinture appartenant à la classe A.

Lire aussi :  Raccordement d'un radiateur de chauffage à un système bitube : choisir la meilleure option de raccordement

Vous devez savoir ce qui suit - la fabrication et la peinture des radiateurs en aluminium Radena sont effectuées à un niveau acceptable. Au total, vous avez le choix entre deux types de produits en aluminium - R350 et R500. Le prix de R350 est d'environ 11,3 $ par section, R500 est de 11,8 $.

Caractéristiques

Les propriétés de base du R350 et du R500 ne diffèrent pas beaucoup. Nous considérerons la première option. Si le R500 est quelque chose de différent, nous vous expliquerons séparément. Le fonctionnement normal des radiateurs est garanti à une pression de service du caloporteur de 16 atm. Quant au test, il est de 24 atm. La pression d'éclatement est de 50 atm.

La puissance calorifique d'une section est très élevée - 165 watts. Le modèle R500 a un peu plus - 192 watts. Pour que l'équipement de chauffage fonctionne longtemps, la température du liquide de refroidissement ne doit pas dépasser 110 degrés. De plus, plus de 0,02 mg d'oxygène est interdit par litre de fluide de travail

Faites attention au pH. La valeur valide est comprise entre 6,5 et 9

Une section du produit contient 0,275 l (R500–0,330 l). Diffère dans certaines limites et poids. R350 - 1,05 kg, R500 - 1,35 kg. Hauteur de section 431 mm et 581 mm respectivement pour différents modèles. Entraxe - 350 mm et 500 mm (d'où les index dans le titre). Les indicateurs restants sont à nouveau les mêmes. Par exemple, la profondeur de la section du radiateur est de 85 mm. Largeur - 80 mm. Les entrées destinées au raccordement ont un diamètre de 1 pouce. Couleur blanche.

Nous pensons que les informations fournies sont plus que suffisantes pour évaluer superficiellement les produits en aluminium. Passons à une option plus intéressante. Nous parlons des radiateurs de chauffage bimétalliques Radena, qui sont encore plus polyvalents.

Caractéristiques

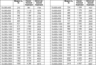
Aperçu des gammes de modèles de radiateurs à panneaux PradoCoût approximatif des radiateurs en fonction de la taille et de la puissance

Lors de la connexion des radiateurs Prado au système d'un immeuble, il est nécessaire de connaître le schéma de connexion. Avec un traitement de l'eau indépendant utilisant des radiateurs en acier, il n'y aura aucune difficulté. Si le circuit est dépendant, ils connaissent d'abord les paramètres du liquide de refroidissement. Les produits sont conçus pour les caractéristiques suivantes :

  • pression de travail - 0,9 MPa, pour les modèles avec un panneau de 1,4 mm - 1 MPa;
  • température maximale du liquide de refroidissement - 120 ° C;
  • poids du panneau de 300 mm de haut - de 2,95 à 119,99 kg ;
  • poids d'un panneau d'une hauteur de 500 mm - de 8,18 à 89,84 kg;
  • valeurs de pH admissibles ​​​​- 8,3-9 ;
  • trous de connexion avec filetage intérieur 1/2″.
  • hauteur - 300 et 500 mm;
  • longueur de 400 à 3000 mm;
  • profondeur - 80-200 mm.

Comment choisir la puissance d'un radiateur à panneaux et son type

La puissance de tout radiateur dépend de la perte de chaleur de la pièce. En général, il est agréable de considérer qu'il faut 100 W de chaleur pour chauffer 1 m2 de surface. C'est ainsi qu'il peut être calculé. Si un radiateur est nécessaire pour une pièce de 16 m2, alors 1600 watts seront nécessaires pour le chauffer.

Ensuite, vous devez trouver les options possibles dans les tableaux : recherchez une puissance proche de la puissance requise. Par exemple, pour notre version convient:

  • type 11-300-2200 - puissance 1682 W ;
  • type 20-300-1900 - 1608 W;
  • type 21-300-1400 - 1616W;
  • type 22-300-1200 - 1674W;
  • type 33-300-900 - 1762W;
  • type 10-500-2000 - 1613W;
  • type 11-500-1400 - 1704 W;
  • type 20-500-1300 - 1699W;
  • type 21-500-1100 - 1760W;
  • type 22-500-800 - 1734W;
  • type 33-500-600- - 1823 W.

Que signifient ces chiffres :

  • le premier - type - le nombre de panneaux et de plaques d'ailettes;
  • la seconde est la hauteur du radiateur ;
  • le troisième est sa longueur.

    Le radiateur doit occuper au moins 70 à 75 % de la largeur de l'ouverture de la fenêtre

Dans la liste complète, vous devez maintenant choisir la taille la plus adaptée à vos conditions. Dans le même temps, il ne faut pas oublier que pour une circulation d'air normale, certaines distances par rapport au sol et au rebord de la fenêtre doivent être respectées. Ici, sur eux, il est souhaitable de sélectionner. Il est également souhaitable de tenir compte du fait que la batterie doit couvrir 70 à 75% de la largeur de la fenêtre. Ainsi, la fenêtre ne "transpirera" pas et la condensation ne se formera pas sur le mur.

Mais la norme de 100 W par mètre carré est la norme moyenne pour les maisons avec des pertes de chaleur moyennes, dans la zone climatique moyenne. En général, la quantité de chaleur requise dépend du climat, de la surface et du type de vitrage des fenêtres, du matériau et de l'épaisseur des murs, des toits, des sols, du degré d'encastrement des portes, etc. Pour tenir compte de tous ces facteurs, des facteurs de correction sont utilisés. En savoir plus sur le calcul des pertes de chaleur et le choix des radiateurs à panneaux ici.

Résultat

Toyota Land Cruiser Prado 120 est une voiture d'émotion, elle devrait convenir à son propriétaire. Il donne une sensation de confort et de confiance. Le prix gonflé est largement basé sur la popularité et la fiabilité légendaire du modèle. Mais il est stable depuis de nombreuses années, et en vendant le Prado dans quelques années, vous ne perdrez pratiquement pas d'argent.

Il va falloir essayer de trouver une copie "live" et honnête

Portez une attention particulière à la vérification légale : titre, numéros de carrosserie et de châssis. Évitez les spécimens tout-terrain actifs, dans des conditions difficiles, tous les composants s'usent 2 à 3 fois plus vite

Les inconvénients incluent un design intérieur médiocre (selon les normes modernes) et un âge plutôt critique. Par conséquent, n'achetez qu'après un essai routier. Évaluez votre expérience de conduite et comparez avec le prix demandé.

Bonne chance sur les routes !

Évaluer Toyota Land Cruiser Prado 120

Conception7

Fiabilité9

Coût d'entretien7

Liquidité8

Confort7.5

Note des lecteurs63 votes6.8

avantages
Marge de sécurité de tous les nœuds principaux
Châssis confort
Bonne capacité hors route
Après quelques années, vous pouvez revendre au même prix que celui acheté

Les moins
Suspension non réglable Valkost
Âge en raison duquel il est difficile de trouver un spécimen "vivant"
Consommation de carburant élevée

7.7

Évaluation
Site sur la plomberie

Nous vous conseillons de lire

Où remplir la poudre dans la machine à laver et combien de poudre verser