- Critères de sélection des conduits à tirage naturel
- Tuyaux en amiante-ciment - la générosité de l'URSS
- Socle pour isolation de cheminée
- Est-il possible de peindre une cheminée galvanisée
- Pourquoi l'isolation de la cheminée est-elle nécessaire ?
- Les nuances de l'appareil et de l'installation
- Comment installer une cheminée ?
- Caractéristiques de montage
- cheminée en brique
- Comment calculer le diamètre de la cheminée
- Méthode suédoise
- Calcul précis
- Quelle devrait être la hauteur du tuyau de cheminée pour la fournaise
- Exigences SNiP
- Technique d'auto-calcul
- Tableau "Hauteur de la cheminée au dessus du faîtage"
- Comment et comment isoler une cheminée galvanisée
- Hauteur du tuyau
- Cheminées en brique - avantages et inconvénients
- Comment choisir une pipe et ne pas se tromper
- Ce que vous devez acheter en plus des tuyaux eux-mêmes : des éléments supplémentaires
- Sélection des matériaux
- Inconvénients d'une cheminée en acier
- Fabrication de boîtes
- Conclusion
Critères de choix des conduits à tirage naturel
Lors du choix du matériau d'une future cheminée, la plupart des propriétaires se concentrent sur le prix des produits et le coût d'installation. Pour un fonctionnement fiable et sûr des équipements de chauffage, d'autres facteurs devront être pris en compte:
- Compatibilité cheminée avec type de chaudière. Les unités à haut rendement (gaz, diesel) émettent de la fumée à une température de 70 ... 120 ° C, les poêles en brique et les générateurs de chaleur à combustible solide - 150 ... 200 ° C, les poêles à ventre en acier et en fonte - jusqu'à 400 degrés .
- La méthode d'agencement du conduit de gaz est la pose interne avec un passage à travers les plafonds et le toit, ou une installation externe le long du mur.
- L'inflammabilité du matériau à partir duquel le bâtiment est construit.
- La capacité de résister à plusieurs reprises à une augmentation de la température des produits de combustion sortants jusqu'à 1000 degrés. De telles urgences surviennent lorsque la suie accumulée à l'intérieur du tuyau s'enflamme.
- Résistance à la corrosion, durabilité.

Les structures en bois situées à côté de la cheminée chauffée au rouge d'un poêle à bois doivent être protégées avec des matériaux incombustibles.
Avant de choisir un matériau de cheminée, décidez de l'option de pose et dessinez un schéma. Rappel des exigences pour les conduits d'évacuation des fumées :
- le diamètre (section) du canal n'est pas inférieur à la sortie de la chaudière, du poêle ou du foyer ;
- la hauteur minimale du tuyau est de 5 m, il est considéré de la grille (brûleur) à la coupe supérieure;
- la tête de la cheminée ne doit pas tomber dans la zone de remous du vent formée derrière le faîte d'un toit à pignon ou se tenant juste à côté d'un grand bâtiment;
- le nombre maximal de tours de canal de 90° n'est pas supérieur à trois ;
- indentation de la surface du tuyau non protégée par l'isolation des structures de construction combustibles (en bois) - 50 cm, protégée - 38 cm;
- la longueur de la section horizontale reliée au piquage de la chaudière est au maximum de 1 m ;
- selon les exigences de sécurité incendie, tous les conduits de gaz métalliques posés dans les pièces et le grenier d'un bâtiment résidentiel doivent être isolés avec un matériau incombustible - laine de basalte ou de kaolin.
La cheminée d'un poêle ou d'une chaudière doit fournir un tirage naturel stable et l'élimination des gaz nocifs à l'extérieur de la pièce - c'est la principale exigence
Il est également important de se conformer aux autres réglementations incendie, par exemple, ne pas utiliser de manchons en aluminium ondulé sur les chaudières de chauffage.
Exigences réglementaires pour la hauteur de la tête et des empreintes coupe-feu
Tuyaux en amiante-ciment - la générosité de l'URSS
Les tuyaux en amiante-ciment sont largement utilisés depuis l'époque de l'URSS. Pourquoi? Oui, ils étaient bon marché, ils étaient faciles à fabriquer, il y avait suffisamment d'amiante naturel dans le pays. De plus, de tels tuyaux pourraient être utilisés sans aucune isolation préalable pour une variété de besoins agricoles. C'est juste pour la disposition des cheminées, elles n'ont jamais été prévues.
Mais le besoin d'invention est rusé, comme on dit. L'époque de la bonification des terres est tombée dans l'oubli, mais les tuyaux en amiante-ciment sont restés. Et pendant la période de construction massive de maisons privées, elles étaient déjà utilisées comme cheminées. De nombreux opposants à une telle mise en œuvre sont immédiatement apparus - tout d'abord, des écologistes qui ont affirmé que l'amiante-ciment libère de nombreux composés nocifs dans l'environnement. Bien que, selon les scientifiques, l'asphalte sur la route soit encore plus cancérigène. Mais, néanmoins, même les toits des bâtiments sont aujourd'hui recouverts d'une variété de toitures coûteuses au lieu d'amiante bon marché et durable.
Et pourtant, toutes ces peurs et ces mythes n'ont pas grand-chose à voir avec cheminées en amiante-ciment tuyaux. Et en même temps, ils ne sont pas du tout sûrs - ce matériau n'a jamais été conçu pour des températures élevées et peut s'enflammer même à 300 ° C. Par conséquent, si vous les mettez déjà, ne vous contentez pas du poêle lui-même - mais aussi près que possible du toit, où la fumée se refroidit déjà un peu.
Mais il y a aussi un deuxième point. La suie se forme dans n'importe quelle cheminée, mais plus les murs sont lisses, moins elle s'y attarde.Mais les tuyaux en amiante-ciment n'ont jamais différé en termes de douceur, et la suie s'y accumule énormément. Et il est facile pour elle de prendre feu - tout fabricant de poêles le sait. De plus, si la suie s'enflamme à l'intérieur du tuyau en amiante-ciment, elle explosera tout simplement ! Pouvez-vous imaginer les conséquences?
Et les tuyaux en amiante-ciment sont gravement détruits par le condensat. Comment est-ce possible s'ils ont été conçus à l'origine pour l'eau ? C'est vrai - pour l'eau, et le condensat est un environnement agressif provenant d'un mélange d'oxydes de combustion et d'une très petite quantité d'humidité. De plus, les oxydes contiennent également un bon pourcentage d'acide chlorhydrique, qui détruit même les briques, mais l'amiante s'absorbe également, ce qui peut transférer tout cela à la structure sous forme de taches disgracieuses avec la même odeur désagréable.
Conclusion : nous avons décidé de tenter notre chance et d'utiliser un tuyau en amiante-ciment gratuit pour la cheminée - assurez-vous de le nettoyer, et aussi souvent que possible. Certes, cela vous tourmente également - cela ne fonctionnera pas pour créer des fenêtres de révision dans de tels canaux.
Socle pour isolation de cheminée
Lors du passage de la fumée à travers le tuyau, le refroidissement inévitable des gaz de combustion chauds se produit. En conséquence, la chaleur des gaz de combustion réchauffe les parois du tube pour évacuer la fumée dans l'atmosphère.
Le tirage de votre poêle est directement proportionnel à la rapidité avec laquelle les parois de la cheminée se réchauffent. Lorsque le tirage est réduit, la fumée commence à suivre le chemin de moindre résistance et commence simplement à passer du four à la ferraille, ce qui est lourd d'empoisonnement au monoxyde de carbone, surtout si dans une maison privée, le poêle est situé directement dans une maison privée, et non dans une chaufferie désignée.
Un autre facteur important en faveur de l'isolation de la cheminée et des tuyaux.Il existe une chose telle que le temps pendant lequel le moment de la manifestation du condensat est surmonté.
Le temps passé à réchauffer le canal de la cheminée dépend en grande partie de sa composition.

Tableau de calcul du régime de température de la structure de la cheminée
Une cheminée bordée de briques peut se réchauffer en 15 à 30 minutes
Photo d'une cheminée en brique
Une cheminée en acier se réchauffe beaucoup plus rapidement - en 2 à 5 minutes;

Cheminée en acier
Étant donné que la cheminée chaude du poêle est constamment en contact avec l'air atmosphérique froid, la condensation dans la cheminée ne peut être évitée. Parallèlement à l'apparition de condensat, due au mélange d'eau avec du dioxyde de carbone et d'autres produits de combustion, une solution acide se forme qui, absorbée par les parois du canal de la cheminée, la détruit progressivement.
Si la cheminée est en brique, l'humidité du condensat est absorbée par les murs en briques, ce qui conduit le plus souvent au gel de la maçonnerie du tuyau. Le tuyau, qui s'est refroidi pendant la nuit dans le gel, se réchauffe à nouveau le matin, c'est à cause de changements de température si fréquents que la maçonnerie de la cheminée s'effondre inévitablement.

Cheminée en brique après congélation régulière
Alors pourquoi isoler les cheminées ? C'est précisément dû au fait que l'apparition de condensat peut difficilement être évitée, mais d'autre part, nous pouvons protéger la cheminée du gel et de la destruction, il est impératif d'isoler toute cheminée, plus tôt vous le faites, plus il sera long sera en opération.
Est-il possible de peindre une cheminée galvanisée
Il est possible et même nécessaire de peindre galvanisé.Avec le temps, la rouille commence encore à pénétrer la couche de zinc et la peinture sera un bon moyen de protection supplémentaire.
Cependant, une surface galvanisée n'a pas la même adhérence que, par exemple, l'acier noir. Par conséquent, les peintures à l'huile et alkydes classiques, qui s'oxydent au contact du zinc, perdent leur adhérence et se décollent de la surface peinte, ne fonctionneront pas ici.
Compositions spéciales inventées:
- tsikrol, peinture acrylique mate à haut pouvoir couvrant, solidité à la lumière et adhérence;
- émail Nerzhaluks, caractérisé par une adhérence et une résistance à l'usure élevées;
- aluminium émaillé argent, protégeant de manière fiable contre la rouille et adapté à une utilisation en extérieur ;
- un certain nombre d'autres composés qui peuvent fournir une protection à long terme contre la pluie, l'exposition au soleil, les changements de température, sans nuire au corps humain.
Pourquoi l'isolation de la cheminée est-elle nécessaire ?
La tâche principale de l'isolation thermique du tuyau de cheminée est de créer des conditions thermiques dans lesquelles la condensation ne se formera pas dans la cavité du tuyau. Comme vous le savez, en raison d'une différence de température importante entre l'intérieur de la cheminée exploitée et l'air extérieur froid, des condensats se forment sur les parois à l'intérieur du conduit en quantités importantes. Isolation cheminée vous permet d'amener le soi-disant point de rosée à l'extérieur du tuyau, éliminant ainsi la cause même de la condensation d'humidité.
Le condensat formé dans la cheminée contient de l'eau et une solution d'acide sulfurique, qui est obtenue à la suite de processus complexes qui se produisent lors de la combustion du carburant. Le résultat de l'impact sur le tuyau d'un tel mélange "explosif" est sa destruction active de l'intérieur.
Dans la mesure du possible, cela s'applique aux tuyaux monocouches en métal. Les tuyaux en sandwich, en brique et en amiante-ciment sont un peu moins sensibles aux effets nocifs.

Points de condensation dus à un manque d'isolation des tuyaux
Les nuances de l'appareil et de l'installation
Le dispositif du tuyau, en tant que tel, n'a pas vraiment d'importance. Le nombre de coudes, de virages et d'autres obstacles sur le chemin des gaz de combustion ne fait qu'aggraver le tirage, vous devez donc essayer de rendre le tuyau aussi droit que possible.
Cependant, les principales qualités de tirage sont déterminées par la hauteur du tuyau, qui est mesurée de la sortie de la chaudière à la tête du tuyau. La tête du tuyau s'appelle l'extrémité du tuyau, qui est cachée sous un parapluie. Soit dit en passant, l'existence d'un parapluie est obligatoire, c'est une protection destinée avant tout à la chaudière elle-même. L'humidité pénétrant dans la chambre de combustion peut endommager tous les équipements de la chaudière.
Un autre point à noter concerne les cordons de soudure et les lieux de passage à travers l'enveloppe du bâtiment, c'est-à-dire les murs, le plafond ou la surface du toit. Les cordons de soudure doivent être réalisés avec le plus grand soin.
Cheminée en tube d'acier
Tous les passages à travers les structures d'enceinte doivent être réalisés sous la forme d'un manchon. Un manchon est un tuyau dont la section est supérieure à la section de la cheminée elle-même. L'espace entre le manchon et la cheminée est obstrué par du mastic. Ceci est fait afin de protéger l'espace entourant le tuyau de la hausse des températures.
Pour résumer les caractéristiques de l'installation de la cheminée :
- La hauteur du tuyau doit être choisie en fonction de la puissance de la chaudière.Des tableaux spéciaux vous aideront à choisir la hauteur, mais il est plus facile de simplement regarder le passeport de la chaudière, en règle générale, vous pouvez y trouver la hauteur de tuyau requise.
- Toutes les soudures doivent être soignées et sans ruptures.
- Les lieux de passage à travers les clôtures sont gainés et scellés.
- La cheminée ne doit pas être posée à proximité de l'endroit où passent les câbles et autres communications. La partie extérieure du tuyau doit être éloignée des arbres.
Conduit de cheminée à travers le plafond
Comment installer une cheminée ?
Il existe deux options pour installer une cheminée - installation extérieure et intérieure. Une cheminée externe (externe) est installée à l'extérieur du bâtiment et reliée à un poêle ou à un autre appareil de chauffage par un tuyau traversant le mur. Par conséquent, cette méthode d'installation est également appelée "à travers le mur". La cheminée interne est située directement dans la pièce chauffée et est évacuée par le toit.
Comment faire une cheminée dans la maison? Les deux options d'installation - extérieure et intérieure - ont leurs propres caractéristiques. Choisissez la meilleure option en tenant compte des avantages et des inconvénients de chaque méthode d'installation.
Tableau 2. Caractéristiques de la cheminée externe
| Avantages | Défauts |
| Ne viole pas l'intérieur de la pièce, ne réduit pas la surface. | Nécessite une isolation extérieure. |
| Relativement facile à installer (pas besoin de faire des passages dans les planchers). | L'installation d'une cheminée nécessite des fixations supplémentaires au mur du bâtiment. |
| Il peut être installé après l'achèvement de la construction et de la décoration du bâtiment. | La cheminée est exposée aux changements de température et aux précipitations. Peut interférer avec l'apparence de la façade. |
Tableau 3. Caractéristiques de la cheminée interne
| Avantages | Défauts |
| La chaleur des cheminées réchauffe l'air de la pièce. | Prend de la place dans la pièce. |
| La cheminée n'est pas exposée à l'effet destructeur des précipitations, elle est moins exposée aux changements de température. |
Considérez comment faire la bonne cheminée, en utilisant l'exemple des cheminées en acier inoxydable.
Caractéristiques de montage
Pour bien fabriquer une cheminée, installez-la dans la maison, vous devez suivre les règles:
- Les surfaces adjacentes au four, la canalisation doivent être recouvertes d'une couche d'isolation thermique, ce qui les empêchera de s'enflammer.
- Il est nécessaire de mettre les communications techniques à distance de la cheminée.
- Aux endroits où la cheminée traverse le toit, le plafond doit être fixé avec des plaques incombustibles. De plus, vous pouvez utiliser un manchon spécial.
- Le système doit être conçu de sorte qu'il y ait moins de virages et de virages. La longueur des sections horizontales ne doit pas dépasser 100 mm.
- Les joints des tuyaux individuels doivent être recouverts d'une couche de mastic résistant à la chaleur pour augmenter l'indice d'étanchéité.
Installation de cheminée ( / termostatus_official)
cheminée en brique
La méthode traditionnelle peut être érigée au moment de la construction de la maison et avoir une forme très différente, même ronde, à condition que les murs intérieurs soient correctement traités.
Cheminée en brique
Le nombre de dignité peut être reconstitué:
- fiabilité;
- durabilité;
- bonne dissipation thermique;
- résistance au feu;
- belle vue.
Mais, il y a aussi des inconvénients :
- L'accumulation de suie est beaucoup plus rapide, en raison des murs rugueux et inégaux à l'intérieur.
- Poids énorme, qui nécessite donc de remplir le "coussin".
- Sous l'influence des acides, du condensat, la brique est progressivement détruite.
- Prix élevé.
N'oubliez pas que le tirage dans de tels canaux peut être perturbé en raison des écoulements tourbillonnaires.Pour minimiser toutes les lacunes, mais en même temps obtenir une structure monumentale et fiable, un tuyau métallique peut être inséré à l'intérieur de la maçonnerie. Il fournira une séparation de fumée fiable et n'affectera pas le cadre de protection. Le choix appartient donc au propriétaire, quel tuyau dans une maison privée est monté de manière optimale. Si vous utilisez deux configurations à la fois, réfléchissez à la faisabilité d'une structure aussi massive. Le prix est assez énorme, et pour de tels fonds, vous pouvez installer une configuration plus appropriée, telle qu'un panneau sandwich.
Comment calculer le diamètre de la cheminée
Lors de la conception d'une cheminée, il est nécessaire de choisir le matériau à utiliser. Et le matériau dépend en grande partie du combustible qui sera utilisé pour le chauffage. Après tout, la cheminée est conçue pour éliminer les restes de la combustion d'un combustible et ne fonctionnera pas avec un autre. Par exemple, une cheminée en brique fonctionne très bien avec le bois, mais ne convient pas aux appareils de chauffage au gaz.
De plus, un calcul correct du diamètre du tuyau de conduit est nécessaire. Si la cheminée est utilisée pour un seul appareil de chauffage, le problème peut être résolu en consultant les documents techniques fournis par le fabricant de l'appareil. Et si plusieurs systèmes différents sont connectés à un tuyau, alors pour calculer la cheminée, vous devez connaître les lois de la thermodynamique, le calcul professionnel, en particulier le diamètre du tuyau. Il est faux de supposer que le diamètre est plus nécessaire.

Méthode suédoise
Parmi les différentes méthodes de calcul du diamètre, le schéma le mieux adapté est important, en particulier si les appareils brûlent à basse température et à long terme.
Pour déterminer la hauteur, le rapport de la section transversale du tuyau de cheminée à la chambre de combustion interne est pris en compte.La hauteur du tuyau est déterminée selon le calendrier:

Où f est l'aire de la coupe de cheminée et F est l'aire du four.
Soit, par exemple, la section transversale du four F est de 70 * 45 \u003d 3150 mètres carrés. cm, et la section du tuyau de cheminée f - 26 * 15 = 390. Le rapport entre les paramètres donnés est (390/3150)*100%=12,3%. Après avoir comparé le résultat avec le graphique, on constate que la hauteur de la cheminée est d'environ 5 m.
Dans le cas de l'installation d'une cheminée pour des systèmes de chauffage complexes, il est important de calculer les paramètres de la cheminée
Calcul précis
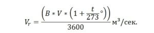
Pour calculer la section souhaitée de la cheminée, veillez à prendre en compte toutes ses caractéristiques. Par exemple, vous pouvez effectuer un calcul standard de la taille d'une cheminée reliée à un poêle à bois. Ils prennent les données suivantes pour les calculs :
- la température des déchets de combustion dans la conduite est t=150°C ;
- la vitesse de passage dans la canalisation d'évacuation est de 2 m/s ;
- la vitesse de combustion du bois de chauffage B est de 10 kg/h.
Si vous suivez ces indicateurs, vous pouvez faire les calculs. A cet effet, la quantité de produits de combustion sortants est calculée selon la formule :

Ici, V est égal à la quantité d'air nécessaire pour brûler le combustible à un débit de v = 10 kg/h. Elle est égale à 10 m³/kg.
Il s'avère:

Calculez ensuite le diamètre requis :
Quelle devrait être la hauteur du tuyau de cheminée pour la fournaise
Le calcul de ce paramètre vous permet d'éviter l'apparition d'une inversion de poussée et d'autres problèmes possibles. Cette question est régie par les règles du SNiP et d'autres documents.

Exigences SNiP
La longueur des conduites d'échappement des gaz d'échappement est régie par les exigences du SNiP 2.04.05. Les règles prescrivent de respecter plusieurs règles d'installation de base :
- la distance minimale entre la grille dans le four et l'auvent de protection sur le toit est de 5000 mm. Hauteur au-dessus du niveau de couverture du toit plat 500 mm ;
- la hauteur du tuyau au-dessus de la pente ou du faîte du toit doit être conforme aux recommandations. Nous en parlerons dans un chapitre séparé ;
- s'il y a des bâtiments sur un toit plat, le tuyau doit être plus haut. Dans ce cas, avec une hauteur de tuyau élevée, il est détaché avec des rallonges de fil ou de câble ;
- si le bâtiment est équipé d'un système de ventilation, leur hauteur ne doit pas dépasser le chapeau du conduit d'évacuation des fumées.
Technique d'auto-calcul
Comment calculer indépendamment la hauteur du canal de fumée, pour cela, vous devrez calculer selon la formule:

, où:
- "A" - conditions climatiques et météorologiques de la région. Pour le nord, ce coefficient est de 160. Vous pouvez trouver la valeur dans d'autres régions sur Internet ;
- "Mi" - la masse de gaz traversant la cheminée en un certain temps. Cette valeur se trouve dans la documentation de votre appareil de chauffage ;
- "F" - le temps de dépôt des cendres et autres déchets sur les parois de la cheminée. Pour les poêles à bois, le coefficient est de 25, pour les unités électriques - 1;
- "Spdki", "Sfi" - le niveau de concentration de substances dans les gaz d'échappement;
- "V" - le niveau du volume des gaz d'échappement;
- "T" - la différence de température entre l'air provenant de l'atmosphère et les gaz d'échappement.
Cela n'a aucun sens de faire un calcul d'essai - les coefficients et autres valeurs ne conviennent pas à votre unité, et l'extraction des racines carrées vous obligera à télécharger une calculatrice d'ingénierie.
Tableau "Hauteur de la cheminée au dessus du faîtage"
Le tableau de la hauteur de la cheminée au-dessus de la structure du toit aidera à déterminer les dimensions des tuyaux sans effectuer de calculs complexes.Tout d'abord, nous analyserons le choix de la longueur du tuyau pour les toits plats.
| Sélection de la longueur de tuyau pour les toits plats. | Min. hauteur du tuyau en mm |
| Il n'y a pas de parapets et d'autres structures et dispositifs sur le toit. | 1200. |
| Une bordure de protection est construite sur le toit ou autres conceptions et distance à jusqu'à 300 mm. | 1300. |
| Excès au-dessus des autres conduits de ventilation | 500. La distance minimale à la gaine de ventilation est de 5000. |
| Pour les structures de toit en pente. | Min. hauteur du tuyau en mm |
| La cheminée sort sur le toit à une distance de 1500 mm du faîte. | 500. |
| Le tuyau est situé à une distance de 1500-3000 mm de la crête. | Le tuyau est amené au niveau du faîte du toit. |
| La distance entre la crête et le passage de la conduite d'échappement est supérieure à 3000 mm. | Mettez de côté 100 à partir de la cavité de la crête.Le haut du tuyau doit être au niveau de cette ligne. |
Comment et comment isoler une cheminée galvanisée
Parmi les appareils de chauffage, la laine de basalte occupe la première place - un agent incombustible fiable qui est utilisé avec succès pour l'isolation thermique et l'isolation des systèmes d'évacuation des fumées. D'autres types de laine minérale sont utilisés comme substitut bon marché, l'essentiel étant en même temps l'incombustibilité du matériau.

La prise est enveloppée de l'isolant sélectionné, fixée avec du fil ou un autre matériau fiable et résistant à la chaleur. Ensuite, un autre tuyau est placé sur le canal isolé, d'un diamètre plus grand et, en règle générale, en acier galvanisé. Il s'avère un sandwich fait maison. Un produit en acier inoxydable peut être choisi comme tube intérieur.
Hauteur du tuyau
Cette taille est déterminée par SNiP, qui fixe certains paramètres :

- Si le toit a un aspect plat, la cheminée doit s'élever de 1,2 mètre au-dessus de celui-ci.
- Si la cheminée est située près de la crête et que la distance est inférieure à 1,5 mètre, elle doit s'élever au-dessus de la crête de 0,5 mètre ou plus.
- Lorsque le tuyau est situé entre 1,5 et 3 mètres de la crête, il ne doit pas être en dessous de la ligne de crête.
- Si l'emplacement de la cheminée depuis la crête dépasse 3 mètres, sa hauteur doit être sur la ligne passant de la crête, en maintenant un angle de 10 degrés par rapport à l'horizon.
Pour déterminer la hauteur de la cheminée, un grand nombre d'indicateurs sont pris en compte. Les paramètres présentés ci-dessus s'appliquent uniquement aux équipements à gaz. Pour faire un calcul précis, vous devez utiliser les services d'une entreprise spécialisée.
Cheminées en brique - avantages et inconvénients
Ces tuyaux sont disposés en brique rouge solide, généralement à l'intérieur des bâtiments, les options attachées externes sont moins courantes. Le mortier de maçonnerie est composé d'argile, de sable et de ciment.
Les propriétaires doivent faire face à des conduits en brique dans 2 cas :
- le projet prévoit l'emplacement du canal de fumée à l'intérieur de la maison - à côté des conduits d'évacuation de l'unité de ventilation ;
- lors de l'érection d'un poêle fixe ou d'une cheminée classique.
Maison classique (à gauche) et cheminée attenante (à droite)
Auparavant, la brique rouge était considérée comme un matériau idéal pour la construction d'une cheminée, mais avec l'avènement de nouveaux produits, elle a perdu sa position de leader. Avantages des conduits de gaz en brique :
- Aspect présentable, qui reste longtemps - pendant toute la période de fonctionnement.
- La gaine passant à l'intérieur du mur transfère une partie de la chaleur des fumées au local.
- Les pierres et la solution de liant sont des matériaux incombustibles.
- Un tuyau correctement plié résiste avec succès au chauffage jusqu'à 1000+ degrés pendant la combustion de la suie (un exemple est montré sur la photo). Mais avec une exposition répétée ou prolongée à des températures élevées, la structure commencera à s'effondrer et deviendra un risque d'incendie.
Les inconvénients des tuyaux en briques sont bien plus:
- La surface intérieure inégale du canal contribue au dépôt et à l'accumulation de suie, qui s'enflamme en cas de débordement.
- La forme rectangulaire (ou carrée) du puits ainsi que la rugosité des parois augmentent la résistance aérodynamique du tuyau et réduisent le tirage naturel.
- La construction est assez lourde et encombrante, nécessitant de poser les fondations. Construire une cheminée ou un poêle entièrement de vos propres mains n'est pas une tâche facile, embaucher des artistes interprètes ou exécutants coûte cher.
- En raison des particularités de la maçonnerie, les dimensions du canal sont liées aux dimensions des briques, par exemple 14 x 14, 14 x 21 ou 21 x 27 cm.Les sections de puits standard sont présentées dans le tableau.
- Travaillant en tandem avec une chaudière à gaz, une cheminée en brique s'effondre sous l'influence du condensat.
La condensation est le principal fléau des canalisations en pierre. La vapeur d'eau contenue dans les produits de combustion pénètre dans les pores de la brique, se condense et est saisie par le givre. De plus, il est clair - le matériau se décolle, la cheminée est détruite. La physique du processus sera expliquée par un spécialiste dans la vidéo :
Comment faire face aux inconvénients des mines de briques:
- faire une isolation thermique externe de la section de rue du tuyau;
- posez un manchon en acier inoxydable à l'intérieur du canal - créez un conduit de gaz combiné;
- faire fonctionner la cheminée avec une chaudière ou un poêle à combustible solide - les gaz réchauffent rapidement les parois de la mine, le condensat ne tombe pratiquement pas;
- aménager des murs en briques doubles, la rangée intérieure est en pierre industrielle de type ShB-8.
Les irrégularités dans les pores de la maçonnerie et de la brique peuvent être protégées par la dorure
Comment choisir une pipe et ne pas se tromper
Le choix d'un tuyau pour une cheminée, en plus du désir du propriétaire, est influencé par des facteurs objectifs. Si le système de chauffage est installé au stade de la construction d'une maison, le choix d'une solution constructive pour la cheminée n'est limité que par les besoins en équipement. S'il s'agit d'un remplacement de tuyau dans un immeuble résidentiel, une cheminée en acier est la meilleure solution.
Vous ne pouvez pas lésiner sur les gaz de combustion. D'ici:
Première règle : ne pas économiser sur le choix des matériaux.
La surchauffe du tuyau entraîne sa fissuration. La sous-chauffe permet à une grande quantité de condensats et d'émissions nocives de se déposer sur les parois, ce qui entraîne également la destruction de la structure, donc :
Deuxième règle : le tuyau doit correspondre à l'équipement utilisé.
Par exemple, les exigences de résistance à la chaleur de l'acier (épaisseur, alliage) pour un tube sandwich varient en fonction du combustible utilisé. GOST 5632-61 répertorie les nuances d'acier autorisées pour une utilisation résistant à la chaleur
Lors de l'achat d'un sandwich, il est important de faire attention à la nuance d'acier. Lors de la construction d'un tuyau en brique, il vaut la peine d'utiliser des matériaux réfractaires
Règle trois : Acquérir les éléments de tuyauterie nécessaires selon le plan.
Par exemple, lors de l'installation d'un sandwich moderne, il est obligatoire d'installer une porte (amortisseur de four), des collecteurs de condensat, des révisions pour le nettoyage et l'élimination des résines de condensat.
La quatrième règle, bien qu'elle puisse être mise en premier lieu: il vaut mieux dessiner une cheminée avec un spécialiste, même si l'installation est prévue de manière indépendante.
Un projet professionnel vous permettra d'agencer la cheminée de la meilleure façon: à la fois le tuyau sera de la longueur requise, composé de matériaux appropriés et la conception du dispositif d'évacuation des fumées est correcte.
Ce que vous devez acheter en plus des tuyaux eux-mêmes : des éléments supplémentaires
Les cheminées en fer et en céramique sont montées à l'aide de tés et de coins conventionnels. Lors de l'installation du tuyau de sortie, ses pièces sont assemblées comme un concepteur à l'aide d'un scellant. Mais en plus des coins et des tés, divers éléments supplémentaires spéciaux peuvent être utilisés lors de l'installation de cheminées.
Bien entendu, les chaudières à condensation modernes peuvent également être installées dans les maisons de campagne aujourd'hui. Mais dans la plupart des cas, des unités ordinaires de ce type sont encore utilisées dans des immeubles résidentiels privés. Lors de l'assemblage de cheminées pour de telles chaudières, des pièges à condensat et des collecteurs de condensat sont souvent utilisés comme éléments supplémentaires.
L'installation de tuyaux qui évacuent les produits de combustion s'effectue généralement à travers le plafond et les pentes du toit de la maison. Et ces conceptions de bâtiments de campagne privés sont dans la plupart des cas assemblées à partir de bois et de planches. Afin d'assurer la sécurité incendie, lors de la pose de cheminées à travers des planchers et des pentes en bois, des cartouches spéciales à isolation thermique sont utilisées.
Au-dessus du toit, les cheminées sont placées verticalement. Par conséquent, les précipitations peuvent facilement pénétrer à l'intérieur de ces tuyaux. Pour éviter que cela ne se produise, les cheminées sont recouvertes par le haut de capuchons de conception spéciale qui n'empêchent pas la fumée de s'échapper vers l'extérieur.
Les cheminées sont montées sur les murs à l'aide de supports et de pinces conventionnels. De plus, lors de l'assemblage de telles structures, des fiches et des adaptateurs spéciaux peuvent être utilisés.Ils sont utilisés lors du raccordement de sections de tuyaux de différents diamètres, du blocage de sections individuelles de la cheminée, lors de l'installation de purgeurs de vapeur, etc.
Sélection des matériaux
Le choix du matériau est déterminé par le mode de fonctionnement de l'équipement de la chaudière, le budget financier de la construction et les préférences personnelles du maître. Il existe des modèles de :
- Brique. La brique est le matériau de cheminée le plus traditionnel. La seule qualité positive d'une brique est ses propriétés d'isolation thermique et son inertie thermique. Sinon, solide contre : il faut une certaine expérience pour créer la bonne solution, qui a une densité suffisante pour ne pas laisser passer le gaz. Un tel tuyau a de grandes dimensions et est difficile à raccorder à la chaudière. Par conséquent, l'utilisation de briques lors de la création d'une cheminée par vous-même est une rareté.
- Acier. L'acier est un matériau merveilleux. L'acier inoxydable correctement sélectionné sera un excellent matériau, facile à installer et abordable pour l'auto-assemblage. De plus, le tuyau peut être fabriqué indépendamment par soudage à partir d'une feuille de métal, ce qui permettra d'économiser considérablement sur le matériau. Le seul point négatif est le coefficient élevé de conductivité thermique. Cela signifie que contrairement à la brique ou à la céramique, l'acier a besoin d'une importante couche d'isolation. Afin d'éviter une procédure aussi désagréable, qui nécessite une certaine habileté, vous pouvez utiliser des tuyaux en sandwich.
- Verre. En effet, les pipes en verre existent. Mais il ne faut en dire que quelques mots, car il n'y a pratiquement pas de tels produits sur le marché russe. Les tuyaux en verre ont une étanchéité au gaz presque absolue, ils sont donc appréciés en Europe.De plus, le plexiglas va bien avec un intérieur minimaliste, ce qui vous permet d'intégrer organiquement ce design à l'intérieur. Parmi les inconvénients: le prix, la complexité de l'installation et le poids important de la structure.
- Polymère. Les tuyaux en polymère se plient trop facilement, ils ne sont donc utilisés que comme manchons posés à l'intérieur des tuyaux en brique. À l'aide d'une doublure avec des tuyaux en polymère, vous pouvez prolonger la durée de vie de l'ancienne cheminée en brique.
- Amiante-ciment. Les tuyaux en amiante-ciment sont des matériaux bon marché et faciles à installer. Mais en même temps, l'amiante-ciment a une faible capacité calorifique et il est beaucoup plus difficile de l'isoler que le même acier. De plus, malgré la facilité d'installation, il est presque impossible de poser les tuyaux en biais.
Tuyaux en amiante-ciment - un matériau bon marché et facile à installer
Inconvénients d'une cheminée en acier
Outre les avantages, les tubes en acier présentent un certain nombre d'inconvénients. Leur principal inconvénient est l'absorption rapide de la chaleur. L'acier chauffe rapidement, il faut donc les isoler. Si cela n'est pas fait, le tuyau peut chauffer les matériaux avec lesquels il entre en contact et provoquer un incendie. De plus, lorsqu'il chauffe, il perd sa capacité à éteindre les étincelles générées dans la cheminée.
Un autre inconvénient des tuyaux en acier est la formation importante de condensat. Cette caractéristique du matériau peut varier en gravité selon le revêtement et le type de construction. Le moins de condensat tombe sur des tuyaux droits sans sorties horizontales.
Fabrication de boîtes
À propos de la façon d'isoler le tuyau en fer de la cheminée, il a été dit plus tôt. Vous pouvez maintenant passer à l'étape suivante. Beaucoup de gens pensent que la fabrication d'un caisson de cheminée est une tâche trop difficile. En réalité, ce n'est pas le cas.Il suffit d'aborder le travail de manière responsable, en connaissance de cause.
Outils requis :
- Perceuse;
- ciseaux pour le métal;
- Boussole;
- feuilles de métal;
- Vis autotaraudeuses.

Étapes de travail :
- Préparation du trou. Le long des bords, il est nécessaire de fixer les barres, qui serviront de support pour le corps.
- Deux flans sont découpés dans une tôle. On leur donne une forme en U. Ensuite, les pièces finies sont vissées au plafond à l'aide de vis autotaraudeuses.
- Encore une fois, deux flans sont fabriqués, mais ils sont déjà fixés sur des feuilles debout avec une petite pelle. Il s'avère un cadre solide dans le plafond.
- Maintenant, le fond est fait pour la boîte à partir d'une tôle. Au centre de la pièce, il devrait y avoir un trou pour la cheminée, ici vous avez besoin d'une boussole.
- La boîte contient quatre attaches de deux centimètres. Ils sont coupés et pliés perpendiculairement au fond.
- Les murs sont attachés au fond. Maintenant, une cheminée est insérée dans la boîte, elle est en outre fixée avec des pinces. Les vides sont remplis d'une couche isolante.
Conclusion
Bien sûr, la cheminée n'est pas seulement un tuyau, mais l'une des parties les plus importantes du système de chauffage. Elle est responsable de la sécurité des résidents de la maison, de l'absence de feu, du microclimat dans le bâtiment. Toute violation de la cheminée, même des microfissures imperceptibles à première vue, peut entraîner une catastrophe. Le monoxyde de carbone, les étincelles, la fumée, le refoulement ou le faible tirage indiquent une violation de la cheminée. Dans de tels cas, des mesures immédiates doivent être prises.
Lors de la conception et de l'installation d'une cheminée, vous pouvez la gérer vous-même. Pour ce faire, tout d'abord, il est nécessaire d'étudier les normes, la documentation de la chaudière, le cas échéant. Effectuez des travaux préparatoires, achetez tout ce dont vous avez besoin.Mais si vous n'avez pas les compétences pour installer une cheminée, vous devriez inviter un spécialiste pour une consultation détaillée, même si vous avez confiance en vos capacités. S'il y a la moindre incertitude, mieux vaut faire appel à une équipe d'artisans expérimentés.







































