- Traitement des eaux usées de fosse septique
- Processus de nettoyage
- Station de bio-traitement
- Aménagement des systèmes d'égouts
- 7 Pose de tuyaux internes de haute qualité - confort de vie
- Planification et préparation des travaux
- Principes de pose du système d'égout
- Les canalisations doivent-elles être isolées ?
- Caractéristiques des fosses septiques
- Propriétés de base
- Où mettre les drains
- Dispositif
- Aménagement d'égouts à faire soi-même dans la baignoire: un guide étape par étape
- Un guide étape par étape pour construire un égout dans un bain de vos propres mains
- Construction d'égouts dans une maison privée: schéma de ventilation dans le bain
- Règles pour la construction d'égouts externes
- Vidéo - Pose de conduites d'égout
- Conseils d'agencement
- Montage
- Comment faire
- Fosse septique à deux chambres
Traitement des eaux usées de fosse septique
Si le raccordement à un système d'assainissement centralisé n'est pas possible ou pratique, une fosse septique est souvent choisie comme alternative. Il s'agit d'une station d'épuration locale fonctionnant sur le principe de la collecte des eaux usées et de leur passage dans le système de traitement. De tels dispositifs ont deux chambres ou plus, et plus le nombre de chambres est grand, plus un nettoyage approfondi et en profondeur peut être réalisé.
Les compartiments de la fosse septique sont séparés les uns des autres par des murs. Entre eux sous
les tuyaux de dérivation sont disposés avec une pente, à travers laquelle les eaux usées passent d'un
caméras à l'autre.Le liquide est introduit par le tuyau d'égout dans le premier compartiment,
est nettoyé et affiché sur les champs de filtration ou, avec un nettoyage en profondeur -
directement dans le sol.
Champs de filtrage
Processus de nettoyage
Le fonctionnement d'une fosse septique repose sur une combinaison des étapes de gravité
décantation et traitement biologique. En cours de filtration primaire reçu
dans la première chambre de la fosse septique, les déchets sont nettoyés de grandes fractions, qui sont abaissées
jusqu'au fond du réservoir. Les inclusions légères sont filtrées et entrent dans la seconde
caméra. Dans la première chambre, les déchets sont décomposés en composants
(biomasse, eau et dioxyde de carbone). Les sédiments s'accumulent au fond du compartiment et
doivent être retirés périodiquement.
Le fonctionnement de la deuxième chambre permet une purification supplémentaire de l'eau.
Le liquide purifié ici peut être envoyé plus loin dans le baril et utilisé pour
glaçage. Sinon, un post-traitement supplémentaire du sol est fourni.
l'eau.
Station de bio-traitement
Un type distinct de fosse septique est une station de biotraitement fonctionnant
grâce au travail des micro-organismes. Il existe également plusieurs usines de traitement distinctes en activité ici.
sections. Tout comme dans le fonctionnement de l'analogue décrit ci-dessus, la première section
utilisé comme puisard. Bactéries anaérobies trouvées ici
recycler les déchets biologiques avec formation de boues.
La deuxième chambre fonctionne avec l'utilisation de bactéries aérobies,
qui décomposent le liquide entrant en matières organiques et inorganiques
composés en présence d'oxygène. Pour qu'un tel appareil fonctionne
un aérateur spécial est nécessaire, ce qui détermine la volatilité de ces
stations biologiques. Dans la troisième section, un nettoyage plus approfondi a lieu.
Station de bio-traitement
Aménagement des systèmes d'égouts
La composition du système d'assainissement général de la maison comprend les éléments suivants:
- Dispositif de stockage (avec ou sans système de traitement) des eaux usées.
- Système de canalisation d'égout externe (externe).
- Système d'égouts interne.
Le système de stockage peut être réalisé sous la forme :
- Un puisard (sans fond et avec un fond), dans lequel les eaux usées sont filtrées en nettoyant les eaux usées lors de leur passage dans le sol et en les traitant à l'aide de la microflore vivant dans le lecteur. Pour remblayer le fond, on utilise de la pierre concassée ou des criblures. Conçu pour un débit d'eaux usées jusqu'à 1 cu. mètres.
- Un réservoir scellé - en acier ou en plastique et ayant un volume donné qui vous permet de collecter les eaux usées pendant une certaine période. Le réservoir en plastique est installé dans une fosse préalablement creusée et ne nécessite pas d'étanchéité supplémentaire, il n'est pas sujet à la corrosion.
- Une fosse septique dans laquelle les eaux usées sont traitées et après un certain temps les déchets sont évacués par pompage à l'aide d'un véhicule spécial équipé d'une citerne. Dans certaines régions, un système de fosse septique à deux chambres est utilisé pour desservir un plus grand nombre de résidents. Le premier puits est utilisé comme puisard et le second pour la filtration des eaux usées. Une fosse septique est un conteneur divisé en 2-3 chambres, dans lequel un traitement progressif des eaux usées est effectué. La fosse septique "Purflo" (France) produit un traitement des eaux usées de haute qualité et est conçue pour 2 à 10 personnes.
- Les stations d'épuration locales sont des systèmes capables d'éliminer jusqu'à 98 % des solides des eaux usées, les convertissant en engrais. Ces stations sont conçues pour le traitement des eaux usées d'une quantité de 1 à 10 mètres cubes.mètres par jour, ce qui répond aux besoins des consommateurs en quantité de 4 à 50 personnes. Un exemple est l'installation Biosepter-Super-filter (Russie). La station a un corps robuste en acier durable de 5 mm d'épaisseur, conçu pour fonctionner pendant 30 ans et composé de plusieurs compartiments pour le traitement étagé des eaux usées. Au stade initial, les composants contenant des matières grasses sont séparés et les fractions les plus importantes sont déposées. Dans la deuxième chambre, les fractions de taille moyenne sont séparées et la troisième chambre est filtrée à l'aide de filtres spéciaux et nettoyée microbiologiquement.
Pour pomper l'eau fécale, en plus de la méthode d'écoulement par gravité, une pompe spéciale Wilo TMW30 EM -30 (Allemagne) peut être utilisée, capable de pomper jusqu'à 72 l/min., fournissant une pression jusqu'à 30 m et fonctionnant à partir d'un Réseau 220 V, d'une puissance de 700 W.
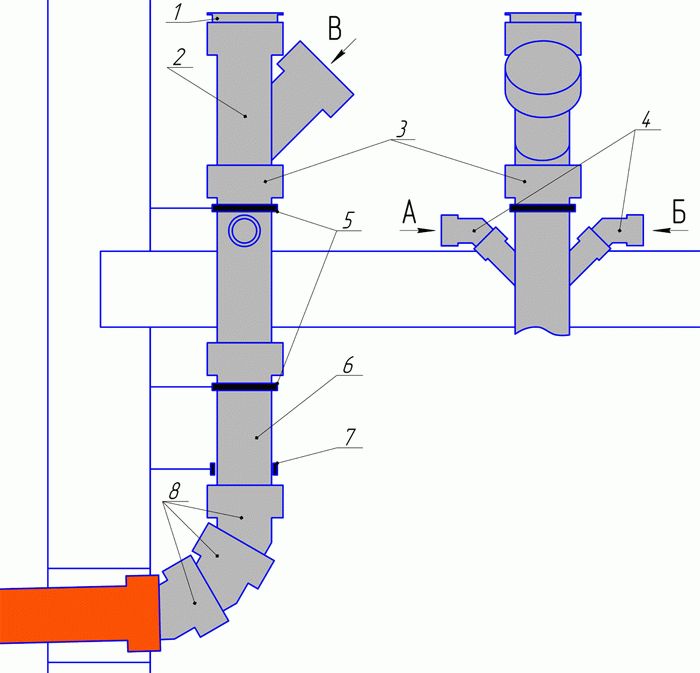
7 Pose de tuyaux internes de haute qualité - confort de vie
La zone limite entre les égouts internes et externes est la sortie - la jonction de la colonne montante avec un tuyau qui est relié à un réservoir pour stocker et traiter les déchets humains. Nous montons la sortie à travers la fondation: à l'aide d'un perforateur, nous faisons un trou correspondant au diamètre de la colonne montante. La profondeur de pose doit être inférieure à la profondeur de congélation du sol afin d'éviter les problèmes en hiver. Nous montons le tuyau placé dans le manchon. La longueur du manchon doit dépasser la longueur du trou, de chaque côté il doit dépasser d'au moins 15 cm Nous couvrons toutes les fissures avec une solution.
Nous commençons à poser les égouts internes à partir de la colonne montante. S'il n'y a pas de puits spécialement préparés pour les communications dans la maison, nous plaçons la colonne montante dans le coin de la salle de bain, près du mur.Le lieu de coupe pour la pose des tuyaux doit être posé avec du mortier. Nous assemblons la colonne montante de bas en haut, tout en veillant à ce que la douille des tuyaux soit dirigée vers le haut. Nous installons un audit à chaque étage, nettoyer les tuyauxs'ils sont bouchés. Elle doit être sur à plus d'un mètre du sol.

Il est impossible d'assembler une colonne montante à partir de buses de diamètres différents, elle doit être strictement verticale, sans pentes. Après l'installation, la colonne montante peut être recouverte d'un matériau d'insonorisation et lui donner un aspect esthétique. Il peut être monté dans une niche, un canal ou une boîte. Si la colonne montante est située dans une pièce non chauffée, il est nécessaire d'effectuer des travaux sur son isolation thermique. S'il est nécessaire d'installer une colonne montante supplémentaire, un té oblique avec un angle de 45 degrés est monté et une sortie supplémentaire est installée.
En plus de la colonne montante, il est nécessaire d'installer un tuyau de ventilateur - une continuation qui mène au toit. Il est installé sur la colonne montante, à la jonction, vous devez monter une révision. Le tuyau du ventilateur est amené au grenier sous une pente. Il doit être situé à une distance de plus de 4 mètres des fenêtres et des portes, à différents niveaux avec une cheminée et des tuyaux de ventilation. Les tuyaux de ventilation pour les égouts doivent dépasser d'au moins 70 cm au-dessus du toit.L'organisation de la ventilation du système d'égout vous permet de vous débarrasser des odeurs désagréables possibles avec l'accumulation de gaz et d'air pollué.
Pour passer d'un drain vertical à un drain horizontal, nous installons des raccords avec un angle de 45 degrés, cela réduira la pression de la pression de l'eau sur les tuyaux lors de la vidange. Pour évacuer l'eau des baignoires et des lavabos, nous utilisons des tuyaux d'un diamètre de 50 mm. Les tuyaux doivent être amenés à la colonne montante avec une pente de 2-3 cm pour chaque mètre de longueur.Nous fixons les tuyaux avec des colliers spéciaux de la taille appropriée.
À l'intersection des éléments provenant de la douche, des lavabos et des baignoires, nous montons un tuyau collecteur d'un diamètre de 10-11 cm.Nous installons des joints d'étanchéité tout au long du pipeline pour empêcher la pénétration d'odeurs désagréables dans les pièces d'habitation. Son appareil a un design similaire, diffère par la taille. L'eau agit comme un bouchon pour la pénétration des odeurs. Si le système d'égout est inactif pendant une longue période, l'eau s'évapore et le joint hydraulique perd ses performances.
Planification et préparation des travaux
Le système d'égout, qui est situé dans un immeuble privé ou d'appartements, est sans pression et est conçu pour détourner les eaux usées vers une colonne montante commune. Ceci est réalisé en effectuant une certaine pente des tuyaux. La qualité de l'installation des conduites d'égout dans un immeuble privé ou d'habitation dépend de l'efficacité de la planification des travaux, qui implique:
- choisir un emplacement pour les appareils de plomberie;
- préparation ou inspection du système d'égouts existant;
- détermination de la quantité et des types de matériaux;
- achat des pièces nécessaires;
- montage d'essai et inspection des égouts ;
- démonter l'ancien ou préparer l'installation d'un nouveau système ;
- installation de conduites d'égout, installation d'équipements, scellement du système;
- raccordement et vérification de la plomberie.
Avant de commencer à installer les tuyaux d'égout de vos propres mains, vous devez vous assurer qu'ils sont propres, qu'il y a un chanfrein à l'extrémité du tuyau et un manchon d'étanchéité à l'intérieur, et qu'il n'y a pas de bavures.
Même de petites inexactitudes dans la planification de l'installation des conduites d'égout de vos propres mains peuvent entraîner de gros problèmes dans le fonctionnement du système fini.

Vous devez d'abord marquer l'emplacement des tuyaux et des appareils de plomberie
Principes de pose du système d'égout
Le système de drainage est équipé de différentes manières:
- le plus simple, lorsque les déchets sont évacués directement dans le puisard ;
- deux puits - un pour les particules solides avec un fond scellé, le second sans fond pour filtrer et drainer l'eau dans le sol, les puits sont installés en série ;
- une option avec une station de pompage, si le site est bas et que les eaux usées doivent être élevées plus haut - ce principe convient si la machine d'égout ne peut pas pénétrer sur le site.
Si l'assainissement est effectué pour la première fois, il est préférable d'inviter un spécialiste qui connaît le type de sol de la région et peut vous conseiller sur le principe d'aménagement des égouts qui fonctionnera le mieux. Il arrive que la station épidémiologique sanitaire ne permette pas l'installation de puits doubles sur sol argileux en raison de la faible capacité de filtration du sol. Par conséquent, il y aura une issue, c'est aussi la plus simple - un cloaque commun.
Les canalisations doivent-elles être isolées ?
Il y a quelques recommandations sur la façon de faire fonctionner le système en hiver. Si vous ne laissez pas le récipient se remplir complètement, le gel peut être évité. Lorsque la fosse septique est pleine, les drains débouchent partiellement dans les égouts. Le diamètre du tuyau d'admission est relativement petit, et à cet endroit le liquide peut geler.
Caractéristiques des fosses septiques
Les fosses septiques sont plusieurs réservoirs-chambres reliés entre eux par des tuyaux de trop-plein. Chacune des chambres a sa propre étape de nettoyage.Sa base est la fermentation et la décomposition par des bactéries anaérobies (elles peuvent vivre sans oxygène), qui sont contenues dans les déchets. Plus il y a de chambres dans la fosse septique, plus il y a d'étapes de purification, plus l'eau de sortie est propre. Mais plus de 50 à 60 % sans mesures de filtration supplémentaires peuvent être obtenus très rarement.

Les fosses septiques sont en plastique, en fibre de verre, en béton, très rarement en acier inoxydable. Les caméras peuvent être implémentées dans un boîtier, ou elles peuvent être séparées. Pour économiser de l'argent, ils construisent souvent des fosses septiques de leurs propres mains. Le plus souvent, ils fabriqueront une fosse septique à partir d'anneaux en béton, mais ils sont également construits en brique ou en béton armé.
Veuillez noter que le contenant doit être absolument scellé.
Ceci est très important lors de la construction de votre propre.
Propriétés de base
Nous traiterons des caractéristiques du travail des fosses septiques. Elles sont:
- A la sortie de la fosse septique, les drains sont nettoyés à 50-75%. Sans nettoyage supplémentaire, ils ne peuvent pas être jetés sur le terrain, dans des plans d'eau ou utilisés pour des besoins techniques (arrosage de pelouse, lavage de voiture, etc.). Ainsi, à partir de la sortie de la fosse septique, les effluents sont acheminés vers des champs/fossés de filtration, vers des puits de filtration.
- En plus de la présence de drains, une fosse septique ne nécessite rien pour fonctionner. Il est indépendant de l'énergie, ils n'ont pas besoin d'être peuplés de bactéries. Ils sont contenus en quantité suffisante dans les déchets qui entrent dans la cuve. Dans la fosse septique, ils se multiplient toujours activement, car l'environnement optimal a été créé pour eux ici.

- Les bactéries vivant dans une fosse septique n'ont pas besoin d'être nourries quotidiennement. C'est une option idéale pour la résidence temporaire - pour les chalets d'été ou les maisons de campagne avec un mode d'activité "en lambeaux". Ils continueront en toute sécurité leur activité vitale "sans se nourrir" pendant longtemps.
- Avec le calcul correct du volume, la fosse septique n'a pas peur de l'augmentation des rejets de salve d'eaux usées. Autrement dit, lors de la chasse d'eau de la salle de bain, vous ne pouvez pas vous inquiéter et tirer la chasse d'eau, utiliser des robinets, etc.
- La présence d'un grand nombre de désinfectants et de détergents n'est pas très bonne pour les bactéries. Le volume des chambres étant important, il leur est difficile de causer des dommages tangibles. Lorsqu'une telle chimie active est déversée, certaines des bactéries mourront, mais la plupart resteront. Ainsi, les recettes puissantes uniques de la chimie n'affecteront pas la qualité du nettoyage.

Le principal inconvénient de cette méthode de nettoyage des eaux usées d'une maison privée est la nécessité d'un post-traitement. Plus de fonds sont nécessaires pour l'installation de structures supplémentaires, mais sans elles, le système d'égouts d'une maison privée ne sera pas correct. Il est impossible de déverser les effluents semi-traités sur le sol. Ils tomberont très rapidement dans l'eau et retourneront dans votre puits et puits voisins. Cela ne vous apportera ni joie ni santé, et vous devez également supporter la «gratitude» de vos voisins. Voyons donc comment nettoyer les drains après une fosse septique.
Où mettre les drains
Veuillez noter que jumelé à une fosse septique, vous devez avoir un dispositif de post-traitement. Selon le sol, il peut s'agir d'un puits de filtration, d'un fossé de filtration ou d'un champ (souterrain ou en vrac)
Ce n'est que dans ce cas que le nettoyage peut être considéré comme complet. Le type d'éléments filtrants à fabriquer dépend du type de sol et du niveau des eaux souterraines.

Dispositif
L'ensemble du système d'évacuation des eaux usées d'une maison privée est divisé en
deux parties principales :
- Le réseau interne comprend la plomberie et les tuyaux qui drainent le liquide de tous les appareils de la maison.
- Les composants du système externe sont une canalisation, un réservoir pour l'accumulation ou le traitement des déchets liquides et des installations de traitement.
Selon les caractéristiques de conception, il existe deux
types de conteneurs :
- Cesspool - une structure en béton ou en briques, sans fond. Nécessite un nettoyage régulier des débris.
- Caisson - un conteneur dans lequel les eaux usées sont accumulées avant le pompage. L'installation d'un caisson ne nécessite pas de grosses dépenses. Cependant, un pompage constant entraîne des coûts supplémentaires.
- Une fosse septique de drainage à chambre unique a des parois en polypropylène, des anneaux en béton armé, de la brique ou du béton. Le traitement des eaux usées est effectué lors de leur passage dans le sol à travers une couche de sable et de gravier.
- Fosse septique à plusieurs chambres - plusieurs conteneurs dans lesquels le liquide passe par plusieurs étapes de purification. La construction d'une fosse septique coûtera plus cher, mais elle n'a pas besoin d'être constamment vidée.
Les sections de tuyau de l'égout peuvent être constituées de différents matériaux. Le plus souvent, l'assainissement individuel d'une maison privée est assemblé à partir de tuyaux en PVC ou en PEHD d'un diamètre de 110 mm. Les systèmes plus anciens utilisaient des tuyaux en fonte ou en amiante.

Aménagement d'égouts à faire soi-même dans la baignoire: un guide étape par étape
Comme dans le cas d'un immeuble résidentiel, l'assainissement d'un bain comprend un système interne et externe. Même si le bâtiment dispose d'un hammam sec, il faudra vidanger le liquide de la douche. Le système de collecte d'eau dépend de la façon dont les sols sont installés. Le système d'assainissement est intégré au projet de bain au stade du développement et est posé au stade initial de la construction avant même que les sols ne soient équipés.
S'il est prévu d'installer des planchers en bois à partir de planches, les éléments peuvent être posés étroitement ou avec de petits espaces. Si le revêtement est installé de manière étanche, les sols sont formés avec une pente d'un mur à l'autre.Ensuite, vous devez trouver le point le plus bas près du mur et laisser un espace à cet endroit, où la gouttière sera ensuite installée (également avec une pente). Au point le plus bas de son placement, une connexion est établie avec le tuyau de sortie d'égout.
Si le parquet est réalisé avec des fentes, de petits espaces (5 mm) doivent être laissés entre les planches. Une base en béton est réalisée sous le sol avec une pente vers la partie centrale de la pièce. Une gouttière et un tuyau d'égout seront installés dans cette zone. Au lieu d'une base en béton, des palettes métalliques peuvent être posées sur le sol isolé sous une terrasse en bois. Si les sols sont autonivelants ou carrelés, une échelle de prise d'eau est installée au point inférieur de la pente, qui draine les drains dans le tuyau.
Utilisation de fosses septiques pour les drains du bain
Un guide étape par étape pour construire un égout dans un bain de vos propres mains
Pour l'installation de conduites d'égout, il est nécessaire de former des fossés avec une pente de 2 cm par 1 m. Leur profondeur est de 50 à 60 cm. Un oreiller doit être fait au fond de ces tranchées. Pour ce faire, une couche de sable de 15 cm d'épaisseur est coulée et soigneusement compactée. Dans ce cas, n'oubliez pas la pente.
Ensuite, l'installation de la conduite d'égout est effectuée. Des tuyaux en polypropylène d'un diamètre de 100 mm sont posés dans des tranchées. Si nécessaire, une colonne montante d'égout est équipée. Il doit être fixé au mur avec des pinces. Assurez-vous d'organiser la ventilation. Lorsque le système est prêt, le revêtement de sol est installé en utilisant l'une des méthodes décrites précédemment.
À la fin de tous les travaux, les échelles et les grilles prévues par le projet sont connectées au système aux endroits désignés.Dans la zone où la prise d'eau est reliée au tuyau de sortie, il est souhaitable d'installer un siphon. Cela empêchera la pénétration des odeurs des égouts dans la pièce. Le plus souvent, les échelles sont équipées de joints hydrauliques intégrés.
Tuyaux d'égout dans le bain
En vente, vous pouvez trouver des gouttières en fibrociment, en plastique ou en fonte. Il n'est pas recommandé d'utiliser des produits en bois et en acier, car. ils se décomposent rapidement sous l'influence de l'humidité. Le diamètre minimum autorisé de la gouttière est de 5 cm.Si le projet prévoit la présence d'une cuvette de toilettes ou d'autres équipements sanitaires, celle-ci est installée et raccordée. Ceci achève les travaux sur l'organisation des eaux usées internes. Le système externe est réalisé de la manière décrite précédemment et peut être une fosse septique ou un puits de drainage.
Construction d'égouts dans une maison privée: schéma de ventilation dans le bain
L'échange d'air dans le bain peut être organisé de différentes manières. Chacun d'eux a ses propres caractéristiques et avantages. Après avoir étudié les spécificités de chaque méthode, vous pouvez choisir la meilleure option pour un bain.
La première méthode consiste à créer une ouverture destinée à apporter de l'air frais. Il doit être placé derrière le poêle à une hauteur de 0,5 m du niveau du sol. L'air d'échappement sera évacué par l'ouverture du côté opposé. Il doit être placé à une hauteur de 0,3 m du sol. Pour augmenter le mouvement du flux d'air à la sortie, vous devez installer un ventilateur d'extraction. Toutes les ouvertures sont fermées par des grilles.
Système d'égouts pour une toilette dans un bain avec une fosse septique et une ventilation
La deuxième méthode consiste à placer les deux trous dans le même plan.Dans ce cas, les travaux affecteront le mur opposé à celui où se trouve la fournaise. Le conduit d'entrée est placé à une hauteur de 0,3 m du niveau du sol, à une distance similaire du plafond, un trou d'évacuation doit être percé et un ventilateur doit y être installé. Les canaux sont fermés par des grilles.
La troisième méthode convient aux revêtements de sol, où les planches sont posées avec des espaces pour drainer le liquide. L'arrivée se fait à une hauteur de 0,3 m du sol sur le mur derrière le poêle. Dans ce cas, l'installation d'un conduit de sortie n'est pas nécessaire, car l'air évacué sortira par les interstices entre les panneaux.
Règles pour la construction d'égouts externes
Toutes les règles sont basées sur les exigences de construction (SNiP 02.04.03-85 "Assainissement. Réseaux et structures externes") et les normes environnementales qui garantissent un système d'égout externe sûr et fiable.
- La sortie du bâtiment de la maison et l'apparition du pipeline externe doivent être de 30 à 50 cm sous le niveau auquel le sol peut geler, car même une isolation supplémentaire ne garantit pas que les tuyaux ne seront pas endommagés par le gel. .
- L'emplacement sur le site des réservoirs d'eaux usées autonomes est strictement normalisé sur l'emplacement du bâtiment résidentiel, des sources d'eau potable et du site voisin, et sur le type de système de traitement. De la maison, la distance minimale aux systèmes de traitement doit être la suivante :
- pour un puisard - 15 m;
- pour un puits de débordement - 12 m;
- pour une fosse septique - 5 m;
- pour une station de traitement biologique - 3 m.
Emplacement de l'assainissement autonome
Du puits ou du puits d'eau potable, le puits de drainage doit être à au moins 20 m et de l'alimentation en eau centrale - 10 m.
De plus, pour les systèmes de traitement biologique, il est important que la distance entre la maison et ceux-ci ne soit pas trop grande afin d'éviter de refroidir les drains. Après tout, l'eau froide peut nuire aux performances des boues activées.
- Le tuyau menant de la maison au réservoir doit également passer avec une inclinaison dont la valeur est calculée selon le même principe que pour le câblage intérieur. Cependant, dans la pratique, 20 à 25 % supplémentaires sont ajoutés. De plus, le tuyau, si possible, ne doit pas avoir de coudes ni de virages.
- La résistance du matériau à partir duquel les tuyaux extérieurs sont fabriqués est particulièrement importante, car ils doivent résister à la pression du sol. La meilleure option est un tuyau métallisé en plastique ondulé. Dans le même temps, sa surface intérieure doit être lisse afin d'éviter la prolifération de tuyaux avec des suspensions.
Au stade de la planification d'un système de drainage externe, il est également nécessaire de calculer à quelle profondeur le tuyau menant les drains hors de la maison entrera dans le réservoir d'eaux usées autonome.
Pour ce faire, utilisez la formule h2=h1+l*k+g, où :
- h1 - la profondeur du point d'entrée dans le puits ;
- h2 - la profondeur de l'endroit où le tuyau sort de la maison ;
- l est la distance entre la maison et l'allée ;
- k - coefficient indiquant la pente du tuyau;
- d est la différence entre le niveau de l'entrée et de la sortie du tuyau, en tenant compte du degré d'inclinaison de la section.
Ce sont des règles généralement acceptées pour différents types d'eaux usées autonomes. À ce jour, il existe une grande variété de conceptions pour le traitement local des eaux usées domestiques, avant l'installation desquelles un projet distinct est en cours de développement.
Schéma du réseau d'égouts
Ainsi, l'ensemble du processus de conception d'un système d'égouts pour une maison privée comprend:
- déterminer la quantité et l'emplacement de l'équipement de plomberie ;
- le choix d'un emplacement pour la colonne montante centrale et la sortie de l'égout de la maison;
- détermination du mode d'évacuation des eaux usées : un système central de drainage ou un hangar de maison ;
- choix du lieu d'installation et du type d'assainissement autonome, si nécessaire ;
- élaboration d'un schéma de tout le câblage intra-maison, indiquant les dimensions, l'angle d'inclinaison des tuyaux ou l'emplacement d'installation de la pompe de circulation, le type et la zone des connexions des tuyaux et des équipements;
- indication dans le schéma de l'emplacement de la colonne montante et de la sortie du tuyau du ventilateur ;
- établir un schéma d'assainissement externe indiquant l'angle d'inclinaison du tuyau de sortie, la profondeur de son apparition et la jonction avec le système d'égout central ou adjacent;
- une indication dans le projet du site d'installation et du type de système autonome de collecte et de traitement des eaux usées.
Vidéo - Pose de conduites d'égout
tuyau de ventilateur
Angle de pente des conduites d'égout
Schéma du réseau d'égouts
Emplacement de l'assainissement autonome
Pose d'égouts dans une maison privée
Option de conception d'égouts dans une maison privée
Exemple de joint hydraulique
projet d'assainissement
Projet d'assainissement dans une maison privée
Conseils d'agencement
Après avoir rejoint tous les segments de la structure d'égout, ils commencent à isoler le pipeline. L'isolation thermique est nécessaire dans les cas où la profondeur de pose des tuyaux est au niveau du gel du sol pendant les gelées hivernales.
Une fois l'installation de la conduite d'égout externe terminée, il est nécessaire de remplir la tranchée avec une vérification obligatoire de la pente de la canalisation, car ce paramètre pourrait changer pendant le processus de connexion.
S'il est prévu d'utiliser la terre recueillie lors du creusement du fossé lors du remblayage, il faut la broyer pour se débarrasser des grosses mottes.
En l'absence de connaissances sur la manière de poser correctement un égout dans une maison privée, certains artisans à domicile accordent une attention insuffisante à cette question. Mais l'aménagement du réseau d'égouts doit être réalisé dans le respect d'un certain nombre d'exigences.
La principale est la suivante : la tranchée doit être remplie de terre en couches d'une épaisseur d'environ 5 centimètres. Le sol est compacté uniquement sur les côtés du tuyau afin de ne pas le déformer ou l'endommager.
Les approches pour la pose de tuyaux d'égout dans une maison privée et dans un appartement sont les mêmes, car les drains et les eaux usées se forment dans les pièces d'habitation et de service et seulement après cela, ils sont sortis.
Par conséquent, lors de la distribution du système d'égout dans un immeuble de grande hauteur moderne et dans une maison de campagne, il est conseillé de respecter un certain nombre d'exigences:
- assurez-vous d'observer la pente du pipeline;
- réduire au minimum le nombre de virages et de virages sur l'ensemble de l'autoroute.
Étant donné que les eaux usées domestiques sont créées selon un type sans pression, la connexion à douille la plus simple peut être utilisée lors de l'assemblage des canalisations. Des poignets en caoutchouc sont utilisés pour le sceller. Cet élément est placé dans la rainure intérieure de la douille avant le début du processus de connexion.
La principale différence dans la disposition de la conception pour l'évacuation des eaux usées et des eaux usées dans la maison et dans l'appartement est que dans le premier cas, il y a une partie extérieure du système posée dans le sol, qui mène à une fosse septique ou à une conduite d'égout centralisée.
Vous pouvez faire le travail ci-dessus vous-même. Sous réserve des recommandations des professionnels, la fiabilité du système d'égout sera élevée et la durée de vie sera longue.
Montage
Avant de commencer les travaux, un plan est élaboré. Le niveau de la colonne montante de ventilation doit être au-dessus des sorties des consommateurs à l'égout. De plus, l'emplacement de la vanne et la pente des branches sont calculés séparément.
Le principe d'installation de la colonne montante
Voyons comment le faire vous-même :
Le tuyau de ventilation est raccordé à l'égout. Un joint soudé est installé au point de couplage
Si un fil est utilisé, une attention particulière doit être accordée à l'étanchéité des communications;
Plusieurs consommateurs peuvent être connectés au tuyau du ventilateur en même temps. C'est pratique si la maison est petite et qu'il y a beaucoup de robinets.
Ensuite, vous devez sceller chaque tuyau séparément. Il est à noter qu'un grand nombre de soudures peut violer la rigidité de la branche ;
Lors de l'installation, la colonne montante est fixée au mur avec des pinces métalliques. Il existe différentes options : le plastique, le caoutchouc, mais l'acier sont les plus fiables et les plus résistants ;
Il est nécessaire de coudre le tuyau du ventilateur sur le toit uniquement en utilisant une isolation hydraulique et thermique. De plus, la hauteur de la sortie sur le toit doit être supérieure à 50 cm.
Ceci est très important pour s'assurer qu'il n'y a pas d'odeurs dans le grenier;
Les experts disent que l'installation de divers dispositifs d'évacuation supplémentaires à la surface du tuyau peut interférer avec le fonctionnement de l'ensemble du système de ventilation. Mais les grilles de protection doivent encore être montées
Cela protégera le tuyau du colmatage;
Pendant le fonctionnement, le tuyau du ventilateur peut faire un bruit désagréable - souvent un écho se fait entendre dans une maison privée. Pour éviter cela, la communication est enveloppée d'un film insonorisé. Il est composé d'une couche de papier d'aluminium et d'un tissu à membrane douce. Lorsque l'égout fonctionne, il absorbe le bruit. En même temps, ce revêtement agit comme un isolant thermique.
Vidéo : Caractéristiques de l'installation d'une colonne montante de ventilateur.
Périodiquement, la sortie du ventilateur de ventilation devra être nettoyée. Pour ce faire, vous pouvez faire appel à des spécialistes ou faire tout le travail vous-même. Pour le nettoyage, vous aurez besoin d'une brosse en caoutchouc souple ou d'un câble de plomberie ordinaire avec une brosse à l'extrémité. Cette procédure doit être effectuée chaque année.
Comment faire
Avant de commencer la construction d'un système d'égouts dans une maison privée, il est nécessaire de calculer la consommation et le drainage. Afin de tout calculer correctement, il est nécessaire d'utiliser des GOST et des SNiP spéciaux.
Exemple de calcul
Tout d'abord, vous devez savoir quel est le taux de consommation d'eau par jour. On pense que pour les habitants des villages, des mégapoles et des petites villes, ces paramètres diffèrent. Par exemple, pour une petite ville, environ 200 litres par jour et par adulte sont considérés comme la norme, alors que plus de 700 litres par habitant d'une métropole.En conséquence, les exigences en matière de diamètre et de pente des canalisations changent.
Vidéo : Systèmes de drainage pour une maison privée.
Le diamètre des tuyaux est choisi en tenant compte de l'utilisation de récepteurs spécifiques. Par exemple, une cuvette de toilettes est nécessaire pour éliminer une grande quantité de déchets, donc un tuyau d'un diamètre d'au moins 100 mm doit en sortir. Les lavabos, les machines à laver, les salles de bains, les lave-vaisselle ont besoin d'un diamètre plus petit - des tuyaux jusqu'à 50 mm leur sont connectés.
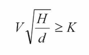
Un paramètre tout aussi important est la pente des tuyaux qui assurent le drainage dans une maison de campagne privée. Il est également calculé individuellement, pour cela il existe une formule spéciale :
Calcul de la pente
Où V est le débit approximatif, H est le remplissage limite, D est le diamètre total.Le résultat doit être un nombre inférieur à un certain facteur pour un diamètre de pipeline donné. Le coefficient lui-même est tiré d'ouvrages de référence pour les installations de plomberie.
Dispositif d'égout à faire soi-même dans une maison privée:
Un tuyau d'un certain diamètre est relié à chaque entrée. L'assainissement peut être effectué à la fois à l'extérieur et à l'intérieur. Le premier ne nécessite aucun effort particulier, mais il n'est pas toujours ergonomique, donc les artisans à la maison préfèrent essentiellement placer des tuyaux dans les murs. Pour ce faire, leurs surfaces sont creusées et des communications sont posées à l'intérieur des fossés;
Comme mentionné ci-dessus, le cahier des charges exige qu'une vanne d'arrêt s'écrase dans chaque branche. Pour ce faire, des filetages sont coupés sur les tuyaux (pour le métal) ou un raccord est installé (lors de l'utilisation de coudes en plastique);
Pour obtenir un réseau fermé, tous les robinets sont interconnectés selon un schéma particulier.
Il est très important de s'assurer que les drains ne peuvent pas couler dans la mauvaise direction. Pour éviter cela, il est nécessaire de contacter des spécialistes.
Faites attention, a est l'approvisionnement en eau, b est l'évacuation de l'eau ;
Après cela, il ne reste plus qu'à effectuer des égouts externes
Pourquoi est-il nécessaire de creuser des tranchées et une fosse pour une station d'épuration
Leurs murs sont renforcés, des tuyaux sont posés dans le sol. à l'avance, si nécessaire. Ils sont isolés avec de la fibre textile ou une enveloppe (en argile, en béton) ;
Les prises externes sont connectées aux prises extérieures. Tous les joints doivent être scellés, vérifiés pour leur résistance. Le schéma peut être de n'importe quel type, l'essentiel est qu'il permette un drainage efficace et empêche le débordement des canalisations;
La dernière étape consiste à installer une station d'épuration et à y apporter des drains (dans lesquels l'eau de pluie est évacuée du toit, des installations de drainage) et des tuyaux d'égout de la maison.
Fosse septique à deux chambres
Construction en béton d'une fosse septique
Le plus pratique est l'installation d'un collecteur de deux chambres reliées par un tuyau de trop-plein. Découvrons comment l'organiser vous-même.
- Les travaux commencent par creuser une fosse à un endroit choisi en tenant compte de toutes les exigences sanitaires. Le volume de la structure dépend du nombre de personnes vivant dans le pays. Vous pouvez creuser une fosse manuellement ou avec une excavatrice.
- Au fond de la fosse, un coussin de sable atteignant 15 cm de haut se forme et la profondeur de la fosse est de 3 mètres.
- Il est nécessaire d'installer un coffrage à partir de planches ou de panneaux de particules. La conception doit être fiable. Ensuite, une ceinture de renforcement est formée de tiges métalliques liées avec du fil d'acier.
- Il est nécessaire de faire deux trous dans le coffrage et d'insérer les garnitures de tuyaux. Ce seront des endroits pour l'entrée de la conduite d'égout et le tuyau de trop-plein entre les sections.
- Le coffrage est coulé avec du béton, qui est réparti dans tout le volume à l'aide d'un outil vibrant. La conception de la fosse septique doit être monolithique, il est donc conseillé de remplir tout le coffrage à la fois.
- Dans le premier compartiment, le fond est coulé avec du béton, une section étanche est formée, elle servira de puisard. Ici, les eaux usées seront divisées en fractions grossières solides qui coulent au fond et en eau clarifiée qui déborde dans la section adjacente. Pour une meilleure décomposition des résidus solides, des bactéries aérobies peuvent être achetées.
- Le deuxième compartiment est fabriqué sans fond, il peut être fabriqué non seulement à partir de murs monolithiques, mais également à l'aide d'anneaux en béton d'un diamètre de 1 à 1,5 mètre, empilés les uns sur les autres.Le fond du puits est recouvert d'une épaisse couche de roche sédimentaire (pierre concassée, galets, gravier) pour filtrer les eaux usées.
- Un tuyau de trop-plein est posé entre les deux tronçons. Il s'installe avec une inclinaison de 30 mm par mètre linéaire. En hauteur, le tuyau est situé dans le tiers supérieur des puits. Le nombre de sections n'est pas nécessairement limité à deux, une fosse septique à quatre sections peut être réalisée pour permettre un meilleur nettoyage.
- Le chevauchement de la fosse septique est réalisé indépendamment, à l'aide de coffrages et de béton, ou des dalles en béton armé prêtes à l'emploi sont utilisées. Assurez-vous d'aménager une trappe qui vous permet de contrôler le remplissage des sections et l'échappement. La fosse est remplie de sable et de terre sélectionnée. Le puisard d'un tel système sera nettoyé tous les 2-3 ans.
Le dispositif d'une fosse septique à deux chambres à partir d'anneaux en béton
Installation d'une fosse septique autonome Topas
Une autre option est une station d'épuration biologique. Les stations locales sont pratiques et efficaces, elles sont indispensables pour les bâtiments de banlieue d'une grande surface. L'installation et le lancement de l'appareil sont effectués par des spécialistes, le coût d'une telle station est acceptable pour un cercle restreint de résidents d'été.











































