Tout savoir sur le vase d'expansion pour le chauffage : pourquoi en a-t-on besoin, comment ça marche et comment le choisir ?

Comment choisir un vase d'expansion pour un chauffage de type fermé, calcul d'un vase d'expansion pour une chaudière

Comment et où est placé le vase d'expansion

Nous allons donc concevoir et assembler un système de chauffage de nos propres mains. Si elle gagne aussi - notre joie ne sera pas la limite. Existe-t-il des instructions pour l'installation du vase d'expansion ?

système ouvert

Dans ce cas, le simple bon sens amènera la réponse.

Un système de chauffage ouvert est essentiellement un grand récipient de forme complexe contenant des courants de convection spécifiques.

L'installation de la chaudière et des appareils de chauffage, ainsi que l'installation des canalisations, doivent garantir deux choses:

  1. Montée rapide de l'eau chauffée par la chaudière jusqu'au point supérieur du système de chauffage et son évacuation à travers les appareils de chauffage par gravité ;
  2. Le mouvement sans entrave des bulles d'air vers n'importe quel endroit où elles se précipitent dans n'importe quel récipient avec n'importe quel liquide. En haut.
  1. L'installation d'un vase d'expansion de chauffage dans un système ouvert s'effectue toujours à son point le plus haut. Le plus souvent - au sommet du collecteur d'accélération d'un système monotube. Dans le cas des maisons à remplissage supérieur (bien que vous n'ayez guère à les concevoir), au point de remplissage supérieur dans le grenier.
  2. Le réservoir lui-même pour un système ouvert n'a pas besoin de vannes d'arrêt, d'une membrane en caoutchouc et même d'un couvercle (sauf pour le protéger des débris). Il s'agit d'un simple réservoir d'eau ouvert sur le dessus, dans lequel vous pouvez toujours ajouter un seau d'eau pour remplacer celle qui s'est évaporée. Le prix d'un tel produit est égal au coût de plusieurs électrodes de soudage et d'un mètre carré de tôle d'acier de 3 à 4 mm d'épaisseur.

Tout savoir sur le vase d'expansion pour le chauffage : pourquoi en a-t-on besoin, comment ça marche et comment le choisir ?

Voici à quoi ressemble l'extension réservoir pour système de chauffage ouvert. Si vous le souhaitez, un robinet d'eau de l'alimentation en eau peut être introduit dans la trappe. Mais bien plus souvent, au fur et à mesure que l'eau s'évapore, elle est remplie avec un seau ordinaire.

systeme ferme

Ici, le choix du réservoir et son installation devront être pris très au sérieux.

Collectons et systématisons les informations de base disponibles sur les ressources thématiques.

L'installation du vase d'expansion du système de chauffage est optimale à l'endroit où le débit d'eau est le plus proche de laminaire, où il y a un minimum de turbulences dans le système de chauffage. La solution la plus évidente est de le placer dans une zone de remplissage droite devant la pompe de circulation. Dans le même temps, la hauteur par rapport au sol ou à la chaudière n'a pas d'importance : le but du réservoir est de compenser la dilatation thermique et d'amortir les coups de bélier, et nous purgeons parfaitement l'air à travers des vannes d'aération.

Tout savoir sur le vase d'expansion pour le chauffage : pourquoi en a-t-on besoin, comment ça marche et comment le choisir ?

Une configuration de réservoir typique. Son emplacement dans un système monotube sera le même - devant la pompe le long du cours d'eau.

  • Les réservoirs de l'usine sont parfois fournis avec une soupape de sécurité qui soulage la surpression. Cependant, il vaut mieux jouer la sécurité et s'assurer que votre produit l'a. Sinon, achetez et montez à côté du réservoir.
  • Les chaudières électriques et à gaz avec thermostats électroniques sont souvent fournies avec une pompe de circulation intégrée et un vase d'expansion de chauffage. Avant de faire vos courses, assurez-vous d'en avoir besoin.
  • La différence fondamentale entre les vases d'expansion à membrane et ceux utilisés dans les systèmes ouverts est leur orientation dans l'espace. Idéalement, le liquide de refroidissement devrait entrer dans le réservoir par le haut. Cette subtilité d'installation est conçue pour éliminer complètement l'air du compartiment du réservoir qui est destiné au liquide.
  • Le volume minimum du vase d'expansion pour un système de chauffage à eau est pris approximativement égal à 1/10 du volume du liquide de refroidissement dans le système. Plus est acceptable. Moins est dangereux. Le volume d'eau dans le système de chauffage peut être calculé approximativement en fonction de la puissance calorifique de la chaudière: en règle générale, 15 litres de liquide de refroidissement par kilowatt sont prélevés.
  • Un manomètre monté à côté du vase d'expansion et de la vanne d'appoint (reliant le chauffage à l'alimentation en eau) peut vous rendre un service inestimable. La situation avec un tiroir coincé de la soupape de sécurité, hélas, n'est pas si rare.
  • Si la soupape relâche trop souvent la pression, c'est un signe clair que vous avez mal calculé le volume du vase d'expansion. Il n'est pas du tout nécessaire de le changer. Il suffit d'en acheter un autre et de le connecter en parallèle.
  • L'eau a un coefficient de dilatation thermique relativement faible.Si vous passez de celui-ci à un liquide de refroidissement qui ne gèle pas (par exemple, l'éthylène glycol), vous devrez à nouveau augmenter le volume du vase d'expansion ou en installer un supplémentaire.

Tout savoir sur le vase d'expansion pour le chauffage : pourquoi en a-t-on besoin, comment ça marche et comment le choisir ?

Le vase d'expansion sur la photo est monté conformément à toutes les règles: le liquide de refroidissement est connecté par le haut, le réservoir est équipé de manomètre et soupape de sécurité.

Installation du dispositif à membrane

Un accumulateur hydraulique de ce type est installé là où il y a une probabilité minimale de turbulence du liquide de refroidissement, car une pompe est utilisée pour la circulation normale du flux d'eau le long du circuit.

Position correcte du conteneur

Lorsqu'il est connecté vase d'expansion fermé le système de chauffage doit tenir compte de l'emplacement de la chambre à air de l'appareil.

La membrane en caoutchouc s'étire périodiquement puis se contracte. En raison de cet impact, des microfissures y apparaissent au fil du temps, qui augmentent progressivement. Après cela, la membrane doit être remplacée par une nouvelle.

Si la chambre à air d'un tel réservoir reste au fond pendant l'installation, la pression sur la membrane augmentera en raison de l'influence gravitationnelle. Les fissures apparaîtront plus rapidement, les réparations seront nécessaires plus tôt.

Il est plus judicieux d'installer le vase d'expansion de manière à ce que le compartiment rempli d'air reste sur le dessus. Cela prolongera la durée de vie de l'appareil.

Caractéristiques du choix d'un site d'installation

Un certain nombre d'exigences doivent être prises en compte lors de l'installation d'un vase d'expansion à membrane :

  1. Il ne peut pas être placé près du mur.
  2. Garantir un libre accès à l'appareil pour son entretien régulier et les réparations nécessaires.
  3. Le réservoir accroché au mur ne doit pas être trop haut.
  4. Un robinet d'arrêt doit être placé entre le réservoir et les tuyaux de chauffage, ce qui permettra de retirer l'appareil sans vidanger complètement le liquide de refroidissement du système.
  5. Les tuyaux reliés au vase d'expansion, lorsqu'ils sont montés au mur, doivent également être fixés au mur afin d'éliminer une éventuelle charge supplémentaire du piquage du réservoir.

Pour un appareil à membrane, la section de retour de la ligne entre la pompe de circulation et la chaudière est considérée comme le point de raccordement le plus approprié. Théoriquement, vous pouvez mettre un vase d'expansion sur le tuyau d'alimentation, mais la température élevée de l'eau nuira à l'intégrité de la membrane et à sa durée de vie.

Lors de l'utilisation d'un équipement à combustible solide, un tel placement est également dangereux car la vapeur peut pénétrer dans le récipient en raison d'une surchauffe. Cela perturbera gravement le fonctionnement de la membrane et pourra même l'endommager.

En plus du robinet d'arrêt et de "l'américain", il est recommandé d'installer un té supplémentaire et un robinet lors du raccordement, ce qui vous permettra de vider le vase d'expansion avant de l'éteindre.

Lire aussi :  5 inconvénients graves des tuyaux en plastique pour l'approvisionnement en eau et le chauffage

Mise en place de l'instrument avant utilisation

Avant l'installation ou immédiatement après celle-ci, il est nécessaire de régler correctement le vase d'expansion, autrement appelé vase d'expansion. Ce n'est pas difficile à faire, mais vous devez d'abord savoir quelle doit être la pression dans le système de chauffage. Disons qu'un indicateur acceptable est 1,5 bar.

Vous devez maintenant mesurer la pression à l'intérieur de la partie air du réservoir à membrane. Elle doit être inférieure à environ 0,2-0,3 bar. Les mesures sont effectuées avec un manomètre avec une graduation appropriée à travers un raccord mamelon, qui est situé sur le corps du réservoir. Si nécessaire, de l'air est pompé dans le compartiment ou son excès est purgé.

La documentation technique indique généralement la pression de travail, qui est définie par le fabricant en usine. Mais la pratique montre que ce n'est pas toujours vrai. Pendant le stockage et le transport, une partie de l'air peut s'échapper du compartiment. Assurez-vous de prendre vos propres mesures.

Si la pression dans le réservoir n'est pas réglée correctement, cela peut entraîner une fuite d'air à travers l'appareil pour le retirer. Ce phénomène provoque un refroidissement progressif du liquide de refroidissement dans le réservoir. Il n'est pas nécessaire de pré-remplir le réservoir à membrane avec du liquide de refroidissement, il suffit de remplir le système.

Réservoir comme capacité supplémentaire

Les modèles modernes de chaudières de chauffage sont souvent déjà équipés d'un vase d'expansion intégré. Cependant, ses caractéristiques ne correspondent pas toujours aux exigences d'un système de chauffage particulier. Si le réservoir intégré est trop petit, un réservoir supplémentaire doit être installé.

Il assurera la pression normale du liquide de refroidissement dans le système. Un tel ajout sera également pertinent en cas de changement de configuration du circuit de chauffage. Par exemple, lorsqu'un système gravitaire est converti en pompe de circulation et que d'anciens tuyaux sont laissés.

Cela est vrai pour tous les systèmes avec une quantité importante de liquide de refroidissement, par exemple dans un chalet à deux ou trois étages ou là où, en plus des radiateurs, il y a un sol chaud. Si utilisé chaudière avec intégré réservoir à membrane de petite taille, l'installation d'un autre réservoir est presque inévitable.

Un vase d'expansion conviendra également lors de l'utilisation d'une chaudière à chauffage indirect. Une soupape de décharge, similaire à celle installée sur les chaudières électriques, ne sera pas efficace ici, un détendeur est une issue adéquate.

Réservoir ouvert à faire soi-même

Tout savoir sur le vase d'expansion pour le chauffage : pourquoi en a-t-on besoin, comment ça marche et comment le choisir ?

réservoir ouvert

Autre chose vase d'expansion pour chauffage d'une maison ouverte. Auparavant, lorsque seule l'ouverture du système était montée chez les particuliers, il n'était même pas question d'acheter un réservoir. En règle générale, un vase d'expansion dans le système de chauffage, dont le schéma se compose de cinq éléments principaux, a été réalisé directement sur le site d'installation. On ne sait pas s'il était possible, en général, de l'acheter à cette époque. Aujourd'hui, c'est plus facile, car vous pouvez le faire dans un magasin spécialisé. Désormais, dans la grande majorité des logements, le chauffage est assuré par des systèmes hermétiques, même s'il existe encore de nombreuses maisons où il existe des circuits d'ouverture. Et comme vous le savez, les réservoirs ont tendance à pourrir et il peut être nécessaire de les remplacer.

Un vase d'expansion de chauffage acheté en magasin peut ne pas répondre aux exigences de votre circuit. Il est possible qu'il ne convienne pas. Vous devrez peut-être le fabriquer vous-même. Pour cela vous aurez besoin de :

  • ruban à mesurer, crayon;
  • Bulgare;
  • machine à souder et les compétences nécessaires pour l'utiliser.

N'oubliez pas la sécurité, portez des gants et travaillez avec le soudage uniquement avec un masque spécial. Ayant tout ce dont vous avez besoin, vous pouvez tout faire en quelques heures. Commençons par quel métal choisir. Étant donné que le premier réservoir est pourri, vous devez vous assurer que cela n'arrive pas au second. Par conséquent, il est préférable d'utiliser de l'acier inoxydable. Il n'est pas nécessaire d'en prendre un épais, mais aussi trop fin. Un tel métal est plus cher que d'habitude. En principe, vous pouvez faire avec ce qui est.

Voyons maintenant étape par étape comment créer un réservoir de vos propres mains:

agir d'abord.

Marquage de tôles. Déjà à ce stade, vous devez connaître les dimensions, car le volume du réservoir en dépend également.Un système de chauffage sans vase d'expansion de la taille requise ne fonctionnera pas correctement. Mesurez l'ancien ou comptez-le vous-même, l'essentiel est qu'il ait suffisamment d'espace pour l'expansion de l'eau;

Découpe d'ébauches. La conception du vase d'expansion de chauffage se compose de cinq rectangles. C'est si c'est sans couvercle. Si vous voulez faire un toit, découpez un autre morceau et divisez-le dans une proportion convenable. Une partie sera soudée au corps, et la seconde pourra s'ouvrir. Pour ce faire, il doit être soudé sur les rideaux à la seconde partie, inamovible ;

troisième acte.

Ebauches à souder en un seul design. Faites un trou dans le fond et soudez-y un tuyau par lequel le liquide de refroidissement du système entrera. Le tuyau de dérivation doit être connecté à l'ensemble du circuit ;

action quatre.

Isolation du vase d'expansion. Pas toujours, mais assez souvent, le réservoir est dans le grenier, car il y a un point culminant. Le grenier est une pièce non chauffée, respectivement, il y fait froid en hiver. L'eau dans le réservoir peut geler. Pour éviter que cela ne se produise, recouvrez-le de laine de basalte ou d'un autre isolant résistant à la chaleur.

Comme vous pouvez le constater, il n'y a rien de difficile à fabriquer un char de vos propres mains. La conception la plus simple est décrite ci-dessus. Dans le même temps, en plus du tuyau de dérivation par lequel le réservoir est connecté au système de chauffage, les trous suivants peuvent également être fournis dans le schéma du vase d'expansion pour le chauffage:

  • par lequel le système est alimenté ;
  • à travers lequel l'excès de liquide de refroidissement est évacué dans les égouts.

Tout savoir sur le vase d'expansion pour le chauffage : pourquoi en a-t-on besoin, comment ça marche et comment le choisir ?

Schéma d'un réservoir avec appoint et vidange

Si vous décidez de fabriquer vous-même un réservoir avec un tuyau de vidange, placez-le de manière à ce qu'il soit au-dessus de la ligne de remplissage maximale du réservoir. Le retrait d'eau par le drain est appelé une libération d'urgence, et la tâche principale de ce tuyau est d'empêcher le liquide de refroidissement de déborder par le haut. Le maquillage peut être inséré n'importe où :

  • pour que l'eau soit au-dessus du niveau de la buse;
  • afin que l'eau soit en dessous du niveau de la buse.

Chacune des méthodes est correcte, la seule différence est que l'eau entrant du tuyau, qui est au-dessus du niveau de l'eau, va murmurer. C'est plus bon que mauvais. Puisque l'appoint est effectué s'il n'y a pas assez de liquide de refroidissement dans le circuit. Pourquoi y manque-t-il ?

  • évaporation;
  • libération d'urgence ;
  • dépressurisation.

Si vous entendez que l'eau de l'alimentation en eau pénètre dans le vase d'expansion, vous comprenez déjà qu'il peut y avoir une sorte de dysfonctionnement dans le circuit.

En conséquence, à la question : "Ai-je besoin d'un vase d'expansion dans le système de chauffage ?" - vous pouvez certainement répondre que c'est nécessaire et obligatoire. Il convient également de noter que différents réservoirs conviennent à chaque circuit, de sorte que la sélection et le réglage corrects du vase d'expansion dans le système de chauffage sont extrêmement importants.

Comment calculer correctement le volume du réservoir pour les systèmes de chauffage?

Tout savoir sur le vase d'expansion pour le chauffage : pourquoi en a-t-on besoin, comment ça marche et comment le choisir ?

Pour calculer correctement le volume du vase d'expansion, plusieurs facteurs sont pris en compte, qui influencent cela:

  1. La capacité de l'expandomat dépend directement de la quantité d'eau dans le système de chauffage.
  2. Plus la pression admissible dans le système est élevée, plus la taille du réservoir dont vous aurez besoin sera petite.
  3. Plus la température à laquelle le liquide de refroidissement est chauffé est élevée, plus le volume de l'appareil doit être important.
Lire aussi :  Sélection d'une pompe de circulation pour le chauffage : comment choisir la bonne unité ?

Référence. Si vous choisissez un vase d'expansion trop grand, il ne fournira pas la pression nécessaire dans le système. Un petit réservoir ne pourra pas accueillir tout le surplus de liquide de refroidissement.

Formule de calcul

Vb \u003d (Vc * Z) / N, dans lequel :

Vc- volume d'eau dans le système de chauffage. Pour calculer cet indicateur, multipliez la puissance de la chaudière par 15. Par exemple, si la puissance de la chaudière est de 30 kW, la quantité de liquide de refroidissement sera de 12 * 15 \u003d 450 litres. Pour les systèmes où des accumulateurs de chaleur sont utilisés, la capacité de chacun d'eux en litres doit être ajoutée au chiffre obtenu.

Z est l'indice de dilatation du liquide de refroidissement. Ce coefficient pour l'eau est de 4%, respectivement, lors du calcul, nous prenons le nombre 0,04.

Attention! Si une autre substance est utilisée comme liquide de refroidissement, le coefficient de dilatation correspondant est pris. Par exemple, pour 10% d'éthylène glycol, c'est 4,4%

N est un indicateur de l'efficacité de l'expansion du réservoir. Les parois de l'appareil étant en métal, son volume peut légèrement augmenter ou diminuer sous l'influence de la pression. Pour calculer N, vous avez besoin de la formule suivante :

Tout savoir sur le vase d'expansion pour le chauffage : pourquoi en a-t-on besoin, comment ça marche et comment le choisir ?

N= (Nmax-N)/(Nmax+1), où :

Nmax est la pression maximale dans le système. Ce nombre est de 2,5 à 3 atmosphères, pour connaître le chiffre exact, regardez à quelle valeur seuil est réglée la soupape de sécurité du groupe de sécurité.

N est la pression initiale dans le vase d'expansion. Cette valeur est de 0,5 atm. pour chaque 5 m de hauteur du système de chauffage.

Poursuivant l'exemple avec une chaudière de 30 kW, supposons que Nmax est de 3 atm., la hauteur du système ne dépasse pas 5 m. Alors:

N=(3-0,5)/(3+1)=0,625 ;

Vb \u003d (450 * 0,04) / 0,625 \u003d 28,8 l.

Important! Les volumes des vases d'expansion disponibles dans le commerce répondent à certaines normes. Par conséquent, il n'est pas toujours possible d'acheter un réservoir dont la capacité correspond exactement à la valeur calculée.

Dans une telle situation, achetez un appareil avec arrondi, car si le volume est légèrement inférieur à ce qui est nécessaire, cela peut endommager le système.

Conceptions de réservoir

Pour résoudre le problème de la compensation, vous pouvez simplement installer un tuyau de sortie séparé tout en haut du pipeline. Mais il ne remplira pas toutes les fonctions d'un vase d'expansion au maximum. Pour comprendre pourquoi, considérez les différents types caractéristiques de conception et d'installation ce compensateur.

Type ouvert

Cette conception, pour la plupart, est réalisée de manière artisanale. Typique schéma réservoir ouvert montré dans la figure:

Tout savoir sur le vase d'expansion pour le chauffage : pourquoi en a-t-on besoin, comment ça marche et comment le choisir ?

Conception de réservoir ouvert

Il s'agit d'un conteneur en acier monté au point le plus élevé de la canalisation du système de chauffage. Le réservoir est relié au système par un tuyau d'expansion et un tuyau de circulation est prévu pour assurer le mouvement de l'eau.

Au fur et à mesure que le système se remplit d'eau, il atteint le tuyau de signal, sur lequel un robinet est installé. Un tuyau de trop-plein est prévu pour contrôler la dilatation de l'eau. Il assure la libre circulation de l'air à l'intérieur du réservoir.

Pour calculer le volume d'un réservoir ouvert, vous devez connaître le volume d'eau dans le système. S'il n'y a pas de telles informations, vous pouvez commencer de la puissance de la chaudière – pour 1 kW correspond environ à 15 litres d'eau. Autrement dit, pour une chaudière de 24 kW, le volume maximal de liquide de refroidissement sera de 360 ​​​​litres.Lorsque la température monte à 70 ° C, l'eau à ce volume se dilate de 9 litres. Et à un maximum de 95 ° C - 15 litres. Le volume du réservoir au niveau du tuyau de trop-plein doit être d'au moins 15 litres.

Cuve à membrane fermée

Il existe également un système de compensation de pression plus avancé dans le système - un réservoir à membrane. Sa conception est un réservoir en acier fermé.

Tout savoir sur le vase d'expansion pour le chauffage : pourquoi en a-t-on besoin, comment ça marche et comment le choisir ?

Réservoir à membrane d'expansion

Le boîtier isolé est divisé en 2 parties, dont l'une a un raccordement au système de chauffage. Le second est rempli d'un gaz inerte - l'azote. Pour régler le niveau de pression à l'intérieur, un mamelon est fourni, avec lequel vous pouvez réduire (purger) ou augmenter (pomper) la pression à l'intérieur.

Lorsqu'elle est connectée aux tuyaux de chauffage et active le système, l'eau, après chauffage, pénètre dans la chambre du réservoir. Lorsqu'une certaine valeur de pression est atteinte, la membrane mobile augmente le volume de la chambre à eau. Ce type de construction est plus pratique à la fois en fonctionnement et lors des travaux d'installation. Les principaux avantages d'un réservoir à membrane sont :

  • Aucun contact de l'eau avec l'air, ce qui réduit considérablement le risque de corrosion.
  • Le réservoir peut être monté n'importe où dans le réseau de chauffage.
  • Étant donné que le système est complètement scellé, la perte de liquide de refroidissement est minime.
  • Perte de chaleur réduite par rapport à un réservoir ouvert.

Mais pour ce système, il existe un facteur obligatoire - le calcul du volume optimal du réservoir. C'est une étape importante dans la conception du système de chauffage dans son ensemble.

Calcul de la puissance du réservoir

Lors du calcul du volume d'un vase d'expansion à membrane, les paramètres suivants doivent être pris en compte :

Type caloporteur. Le coefficient de dilatation thermique (E) pour différents liquides est différent

Il est donc important de connaître cette valeur.
Le volume total du liquide de refroidissement dans le système est C. Un calcul approximatif a été indiqué ci-dessus.
Pression initiale dans le système Rmin.
La valeur de pression maximale admissible Pmax.
Le facteur de remplissage du réservoir à différentes pressions (Kzap). Il peut être calculé à partir du tableau :

Il peut être calculé à partir du tableau :

Tout savoir sur le vase d'expansion pour le chauffage : pourquoi en a-t-on besoin, comment ça marche et comment le choisir ?

Le volume d'expansion du liquide de refroidissement peut être calculé à l'aide de la formule suivante :

Tout savoir sur le vase d'expansion pour le chauffage : pourquoi en a-t-on besoin, comment ça marche et comment le choisir ?

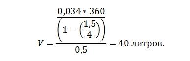
  • Le coefficient de dilatation de l'eau E est de 0,034 (à 85°C).
  • Le volume du système de chauffage C- 360 l
  • Pression initiale Rmin - 1,5 atm
  • La valeur maximale de la pression Рmax - 4 atm
  • Selon le tableau, le facteur de remplissage du réservoir Kzap est de 0,5

Tout savoir sur le vase d'expansion pour le chauffage : pourquoi en a-t-on besoin, comment ça marche et comment le choisir ?

Il s'agit de la taille standard du réservoir pour une petite maison.

Lors du choix d'un vase d'expansion, vous devez faire attention à la qualité de fabrication. Il est préférable de consulter des spécialistes, car il existe un grand nombre de fabricants de ces structures et il est très difficile de déterminer la qualité d'un modèle particulier sans expérience ni pratique.

Sortes

Tout savoir sur le vase d'expansion pour le chauffage : pourquoi en a-t-on besoin, comment ça marche et comment le choisir ?

Les systèmes de chauffage fonctionnent avec et circulation forcée du liquide de refroidissement.

Dans les conceptions de chauffage traditionnelles, des vases d'expansion de type ouvert sont utilisés.

Dans les cas où le liquide de refroidissement est amené à se déplacer à l'aide de pompes de circulation spéciales, des dispositifs d'expansion de type fermé sont plus souvent utilisés.

Type ouvert

Un vase d'expansion de type ouvert est une boîte métallique ordinaire reliée à un tuyau d'une conduite de chauffage. Il est placé à l'endroit accessible le plus élevé du bâtiment (maison).

Pendant la saison de chauffage, la présence d'eau dans le réservoir est régulièrement contrôlée. Si nécessaire, ajoutez du liquide dans le vase d'expansion.

Tout savoir sur le vase d'expansion pour le chauffage : pourquoi en a-t-on besoin, comment ça marche et comment le choisir ?

Certains experts installent un système de contrôle de niveau à flotteur dans le vase d'expansion. Lorsque le niveau baisse, le flotteur descend, ce qui entraîne l'ouverture de la vanne d'alimentation.

L'eau est automatiquement ajoutée au niveau souhaité. Les systèmes automatiques sont montés uniquement lorsqu'il existe un système d'alimentation en eau dans lequel la pression est maintenue supérieure à la valeur hydrostatique HSt.

  1. Appareil extrêmement simple, facile à fabriquer de vos propres mains.
  2. Il peut fonctionner pendant des années sans causer de plaintes de la part des utilisateurs.
  1. La corrosion endommage le vase d'expansion en premier.
  2. Il est nécessaire de vérifier régulièrement la présence de liquide et de faire l'appoint si nécessaire. Souvent, dans les maisons privées, lors de l'installation d'un système de chauffage, la capacité d'expansion du liquide de refroidissement est rappelée en dernier. Je le place près du plafond, ce qui crée des désagréments lors du remplissage. Obligé d'utiliser des bouteilles plates pour faire le plein d'eau.
  3. Il est nécessaire de poser un tuyau supplémentaire qui ne chauffera que l'espace près du plafond.
Lire aussi :  Pourquoi avez-vous besoin d'une flèche dans le système de chauffage

Important! Le liquide de refroidissement a tendance à s'évaporer. Il doit être périodiquement rempli afin d'éviter la formation de poches d'air à l'intérieur du système de chauffage.

réservoir fermé

Dans de tels réservoirs, il y a deux volumes séparés par une membrane mobile. Dans l'espace inférieur, il y a un liquide de refroidissement et dans l'espace supérieur, il y a de l'air ordinaire.

Tout savoir sur le vase d'expansion pour le chauffage : pourquoi en a-t-on besoin, comment ça marche et comment le choisir ?

Pour créer une pression préliminaire dans le système, une vanne et un raccord sont prévus sur la partie air du réservoir. En connectant la pompe, vous pouvez augmenter la pression à l'intérieur de la chambre à air.

À l'aide d'un manomètre, la pression de réglage dans le système de chauffage est contrôlée et réglée HSt.

L'installation d'un tel appareil est effectuée dans différentes parties du chauffage, le plus souvent il est traditionnellement installé près de la chaudière sur la conduite d'alimentation.

Certains utilisateurs montent des robinets et des manomètres supplémentaires pour savoir valeur de pression pendant le fonctionnement.

Vous n'avez pas besoin de surveiller en permanence le niveau de liquide de refroidissement dans le système, en le remplissant une fois, pendant plusieurs années, vous ne pouvez pas vous soucier de la plénitude

Des liquides non gelants (alcools à point d'ébullition élevé) sont ajoutés au liquide de refroidissement, qui ne craignent pas les températures descendant en dessous de 0 ° C, ce qui est important pour les maisons de campagne qui ne sont visitées que par des arrivées périodiques. Il n'y a pas de corrosion du métal, car l'air ne pénètre pas à l'intérieur. conditionnel moins

Il est nécessaire d'équiper un système de chauffage fermé de dispositifs de contrôle, ainsi que d'une soupape de sécurité qui s'ouvrira en cas de forte augmentation de la pression.

moins conditionnel. Il est nécessaire d'équiper un système de chauffage fermé de dispositifs de contrôle, ainsi que d'une soupape de sécurité qui s'ouvrira en cas de forte augmentation de la pression.

Attention! Une forte augmentation de la pression dans le liquide de refroidissement n'est possible que si sa circulation s'arrête. C'est peut-être quand endommagement ou déconnexion de la pompe de circulation. Il existe un autre inconvénient dont les fabricants de réservoirs fermés ne veulent pas parler.

La membrane perd de son élasticité avec le temps. Si la pression change à l'intérieur, des dommages se produiront. Par conséquent, des réservoirs pliables sont en vente. Il est facile de remplacer la membrane en eux après un certain temps. Habituellement, cet entretien est effectué en été, en préparation de la nouvelle saison de chauffage.

Il y a un autre inconvénient dont les fabricants de réservoirs fermés ne veulent pas parler.La membrane perd de son élasticité avec le temps. Si la pression change à l'intérieur, des dommages se produiront. Par conséquent, des réservoirs pliables sont en vente. Il est facile de remplacer la membrane en eux après un certain temps. Habituellement, cet entretien est effectué en été, en préparation de la nouvelle saison de chauffage.

Recommandations de capacité

La caractéristique la plus importante à laquelle vous devez faire attention lors du choix d'un modèle de vase d'expansion est le volume de son réservoir. Pour les systèmes fermés avec un petit circuit, le volume du liquide de refroidissement dans lequel ne dépasse pas 150 litres, il est facile de calculer la capacité

Donc, ça devrait être :

  • lorsqu'il est utilisé comme eau de refroidissement - 10% du volume de l'ensemble du système de chauffage (par exemple, si ce chiffre est de 100 litres, le vase d'expansion doit contenir au moins 10 litres);
  • lors de l'utilisation de liquide glycolique comme liquide de refroidissement - 15% du volume du système de chauffage.

Dans ce dernier cas, la capacité devrait être plus impressionnante en raison du coefficient de dilatation plus élevé de l'antigel spécifié.

Tout savoir sur le vase d'expansion pour le chauffage : pourquoi en a-t-on besoin, comment ça marche et comment le choisir ?L'avantage des vases d'expansion modernes est la réaction de leur membrane à tout changement de température du liquide de refroidissement. Ce qui garantit la sécurité d'utilisation. Mais il ne faut pas oublier que les réservoirs sont conçus pour fonctionner dans certaines conditions, ils doivent donc être choisis correctement.

Le volume du réservoir pour les grands systèmes avec plus de 150 litres circulant dans le circuit est calculé de manière plus pratique à l'aide du paramètre de volume total du système et du tableau de sélection du réservoir.

Pour calculer le volume total du système, vous pouvez utiliser les méthodes suivantes :

  1. Mesurez le volume de liquide de refroidissement circulant dans tous les éléments individuels du système (chaudière, radiateurs, canalisations) avec une sommation ultérieure des résultats. Cette méthode est très laborieuse, mais en même temps c'est la plus précise.
  2. Multipliez chaque kilowatt de puissance de la chaudière par 15, en supposant qu'il y a en moyenne environ 15 litres de liquide de refroidissement pour 1 kW. Cette méthode est simple, mais il ne faut pas oublier que le résultat ne peut être fiable que lorsqu'il y a confiance dans la sélection correcte de l'élément chauffant pour le système.
  3. Vidangez toute l'eau du système et remplissez-le en calculant le déplacement requis.

De plus, pour calculer le volume requis du réservoir, vous pouvez utiliser des formules ou une calculatrice en ligne. Pourquoi vous devez connaître le volume du liquide de refroidissement, sa température et sa pression dans le système.

La méthode avec des formules est plus complexe et le volume résultant ne différera pas significativement du calcul approximatif ci-dessus. De plus, la valeur trouvée sera arrondie.

Tout savoir sur le vase d'expansion pour le chauffage : pourquoi en a-t-on besoin, comment ça marche et comment le choisir ?De nombreux fabricants de vases d'expansion offrent au consommateur une assistance dans le choix du bon réservoir. Pour cela, prévoir des tableaux pour faciliter le choix. Certes, ils doivent indiquer que les informations fournies ont un caractère consultatif et que la responsabilité incombe en tout cas à l'acheteur.

La solution la plus pratique lors du choix sera un vase d'expansion conçu pour les systèmes de chauffage de type fermé, équipé d'une soupape de sécurité.

La raison en est que lorsque la pression atteint des normes critiques, l'appareil commence à fonctionner et le purge. Autrement dit, la vanne spécifiée est capable d'augmenter considérablement la sécurité de l'ensemble du système de chauffage.

Lors de l'achat d'un conteneur, il convient de garder à l'esprit que la peinture rouge est le plus souvent utilisée pour indiquer les vases d'expansion utilisés pour le chauffage.

Cette caractéristique aidera à distinguer le produit souhaité d'autres produits similaires, par exemple des réservoirs de taille et de forme similaires. pour alimentation en eau - accumulateurs hydrauliques, qui sont principalement recouverts d'émail bleu.

Mais si nécessaire, vous pouvez trouver des réservoirs de différentes couleurs, ce qui vous aidera à placer le bon dans n'importe quelle pièce sans compromettre ses qualités esthétiques.

Les réservoirs sont horizontaux ou verticaux et les fabricants permettent de les monter à différents endroits. Ce produit est livré avec une variété d'accessoires.

Et lors de l'achat, vous devez faire attention à cela, en déterminant à l'avance la meilleure option.

Lors du choix, vous devez également faire attention à la qualité des matériaux utilisés dans la fabrication du corps du réservoir, membrane. Et la disponibilité d'une garantie pour l'équipement acheté et manuels d'installation et de connexion dans le système

Évaluation
Site sur la plomberie

Nous vous conseillons de lire

Où remplir la poudre dans la machine à laver et combien de poudre verser