- Nous vérifions le condensateur avec un multimètre en mode ohmmètre
- Comment vérifier les performances du multimètre
- Vérifier la progression
- Comment vérifier l'appareil sans dessouder
- Contrôle puce
- Caractéristiques des condensateurs SMD
- Vérification du condensateur avec un multimètre
- Comment tester un condensateur
- Détermination de la capacité d'un condensateur inconnu
- Méthode numéro 1 : mesure de capacité avec des appareils spéciaux
- Méthode numéro 2 : mesurer la capacité de deux condensateurs en série
- Méthode numéro 3: mesurer la capacité à travers la constante de temps du circuit
- Autres façons de mesurer la capacité
- Procédure de vérification
- Inspection visuelle
- Vérification de la fiabilité de la fixation
- Essai de résistance
- Par conteneur
- Astuces utiles
- Vérification avec des testeurs
- Capacité
- Tension
- La résistance
- Comment fonctionne un condensateur et pourquoi est-il nécessaire
- Comment tester un condensateur avec un multimètre
- Électrolytique
- Céramique
- Film
- Bloc de boutons de commande : tâches de mesure
Nous vérifions le condensateur avec un multimètre en mode ohmmètre
Par exemple, nous testerons nous-mêmes quatre condensateurs : deux polaires (diélectriques) et deux non polaires (céramique).
Mais avant de vérifier, il faut obligatoirement décharger le condensateur, alors qu'il suffit de fermer ses contacts avec n'importe quel métal.
Pour passer en mode résistance (ohmmètre), nous déplaçons le commutateur vers le groupe de mesure de résistance afin d'établir la présence d'un circuit ouvert ou d'un court-circuit.
Alors, tout d'abord, vérifions les climatiseurs polaires (5,6 uF et 3,3 uF) installés plus tôt sur les ampoules à économie d'énergie qui ne fonctionnent pas
On décharge les condensateurs en fermant leurs contacts avec un tournevis classique. Vous pouvez utiliser tout autre objet métallique qui vous convient. L'essentiel est que les contacts y soient bien ajustés. Cela nous permettra d'obtenir des lectures d'instruments précises.
L'étape suivante consiste à régler le commutateur sur l'échelle 2 MΩ et à connecter les contacts du condensateur et les sondes de l'appareil. Ensuite, nous observons sur l'écran en esquivant rapidement les paramètres de résistance.
Vous me demandez quel est le problème et pourquoi voyons-nous des "indicateurs flottants" de résistance sur l'écran ? C'est assez simple à expliquer, car l'alimentation de l'appareil (batterie) a une tension constante et de ce fait, le condensateur est chargé.
Au fil du temps, le condensateur accumule de plus en plus de charge (est chargé), augmentant ainsi la résistance. La capacité du condensateur affecte la vitesse de charge. Dès que le condensateur est complètement chargé, sa valeur de résistance correspondra à la valeur de l'infini, et le multimètre à l'écran affichera "1". Ce sont les paramètres du condensateur de travail.
Il n'y a aucun moyen de montrer l'image sur la photo. Ainsi, pour l'instance suivante d'une capacité de 5,6 microfarads, les indicateurs de résistance commencent à 200 kOhm et augmentent progressivement jusqu'à dépasser l'indicateur de 2 MΩ. Cette procédure ne prend pas plus de -10 secondes.
Pour le prochain condensateur d'une capacité de 3,3 uF, tout se passe de la même manière, mais le processus prend moins de 5 secondes.
Vous pouvez vérifier la prochaine paire de condensateurs non polaires de la même manière par analogie avec les condensateurs précédents. Nous connectons les sondes de l'appareil et les contacts, surveillons l'état de la résistance sur l'écran de l'appareil.
Considérez le premier "150nK". Au début, sa résistance diminuera légèrement jusqu'à environ 900 kOhm, puis elle augmentera progressivement jusqu'à un certain point. Le processus prend 30 secondes.
Dans le même temps, sur le multimètre du modèle MBGO, nous réglons le commutateur sur une échelle de 20 MΩ (la résistance est correcte, la charge est très rapide)
La procédure est classique, on enlève la charge en fermant les contacts avec un tournevis :
Nous regardons l'affichage, en suivant les indicateurs de résistance:
Nous concluons qu'à la suite de la vérification, tous les condensateurs présentés sont en bon état.
Comment vérifier les performances du multimètre
Il est nécessaire de déplacer le commutateur sur la position de mesure de la résistance. Habituellement, cette position est désignée OHM. L'appareil doit être calibré avec une graduation mécanique afin que la flèche soit alignée avec le risque extrême.
Fermez les queues avec un tournevis, un couteau, l'une des tentacules du multimètre pour retirer la charge du condensateur
À ce stade, vous devez agir avec prudence et prudence. Même un petit article ménager peut frapper le corps humain
Après avoir allumé l'appareil, il est nécessaire de basculer le commutateur sur le mode de mesure de la résistance et de connecter les sondes. L'écran doit afficher une résistance nulle ou proche de celle-ci.
Vérifier la progression
Déterminé visuellement pour les troubles physiques. Ensuite, ils essaient de monter les jambes sur la planche. Faites légèrement pivoter l'élément dans différentes directions.Si l'une des jambes se casse ou si la piste électrique de la carte est décollée, cela sera immédiatement perceptible.
S'il n'y a aucun signe extérieur de violation, ils réinitialisent la charge possible et appellent avec un multimètre.
Si l'appareil affiche une résistance presque nulle, l'élément a commencé à se charger et fonctionne. Au fur et à mesure que vous chargez, la résistance commence à augmenter. La croissance de la valeur doit être douce, sans à-coups.
En cas de dysfonctionnement :
- Lors du serrage des connecteurs, les lectures du testeur sont immédiatement sans dimension. Donc, une rupture dans l'élément.
- Zéro multimètre. Parfois, il émet un signal sonore. C'est le signe d'un court-circuit ou, comme on dit, d'une "panne".
Dans ces cas, l'élément doit être remplacé par un neuf.
Si vous avez besoin de vérifier les performances d'un condensateur non polaire, choisissez la limite de mesure du mégaohm. Lors des tests, un composant radio en état de marche ne présentera pas de résistance supérieure à 2 mΩ. Certes, si la charge nominale de l'élément est inférieure à 0,25 microfarads, un compteur LC est requis. Un multimètre n'aidera pas ici.
Le test de résistance est suivi du test de capacité. Afin de savoir si l'élément radio est capable d'accumuler et de conserver une charge.
L'interrupteur à bascule du multimètre est commuté sur le mode CX. La limite de mesure est choisie en fonction de la capacité de l'élément. Par exemple, si une capacité de 10 microfarads est indiquée sur le boîtier, la limite du multimètre peut être de 20 microfarads. La valeur de la capacité est indiquée sur le boîtier. Si les indicateurs de mesure sont très différents de ceux déclarés, le condensateur est défectueux.
Ce type de mesure est mieux fait avec un instrument numérique. La flèche ne montrera qu'une déviation rapide de la flèche, ce qui n'indique qu'indirectement la normalité de l'élément coché.
Comment vérifier l'appareil sans dessouder
Afin de ne pas brûler accidentellement une puce sur la carte avec un fer à souder, il existe un moyen de vérifier le condensateur avec un multimètre sans soudure.
Avant de sonner, les composants électriques sont déchargés. Après cela, le testeur passe en mode de test de résistance. Les tentacules de l'appareil sont reliées aux pattes de l'élément à contrôler, en respectant la polarité requise. La flèche de l'appareil doit dévier, car à mesure que l'élément se charge, sa résistance augmente. Cela indique que le condensateur est bon.
Parfois, vous devez vérifier la carte et les microcircuits. Il s'agit d'une procédure complexe, pas toujours réalisable. Étant donné que le microcircuit est une unité distincte, à l'intérieur de laquelle se trouvent un grand nombre de micro-détails.
Contrôle puce
Le multimètre est mis en mode mesure de tension. Une tension est appliquée à l'entrée du microcircuit dans la plage autorisée. Après cela, il faut contrôler le comportement en sortie du microcircuit. C'est un appel très difficile.
Avant d'effectuer tous types de travaux liés à l'électricité, vérifier, tester des éléments radio, il est très important de suivre les règles de sécurité. Le multimètre ne doit tester qu'un tableau électrique hors tension
Caractéristiques des condensateurs SMD
Les technologies modernes permettent de fabriquer des composants radio de très petites tailles. Avec l'utilisation de la technologie SMD, les composants du circuit se sont miniaturisés. Malgré leur petite taille, le test des condensateurs SMD n'est pas différent des plus grands. Si vous avez besoin de savoir si cela fonctionne ou non, vous pouvez le faire directement sur le tableau. Si vous avez besoin de mesurer la capacité, vous devez la souder, puis prendre des mesures.

La technologie SMD permet de réaliser des éléments radio miniatures
Le test de performance d'un condensateur SMD est effectué de la même manière que l'électrolytique, la céramique et tous les autres. Les sondes doivent toucher les fils métalliques sur les côtés. S'ils sont remplis de vernis, il est préférable de retourner la planche et de la tester «par l'arrière», en déterminant où se trouvent les conclusions.

Les condensateurs CMS au tantale peuvent être polarisés. Pour indiquer la polarité sur le boîtier, du côté de la borne négative, une bande de couleur contrastante est appliquée
Même la désignation d'un condensateur polaire est similaire: une bande contrastante est appliquée sur le boîtier près du «moins». Seuls les condensateurs au tantale peuvent être des condensateurs SMD polaires, donc si vous voyez un rectangle net sur la carte avec une bande le long du bord court, appliquez une sonde multimètre sur la bande qui est connectée à la borne négative (sonde noire).
Vérification du condensateur avec un multimètre

Pour commencer, voyons de quel type d'appareil il s'agit, en quoi il consiste et quels types de condensateurs existent. Un condensateur est un appareil qui peut stocker une charge électrique. À l'intérieur, il se compose de deux plaques métalliques parallèles l'une à l'autre. Entre les plaques se trouve un diélectrique (joint). Plus les plaques sont grandes, plus elles peuvent accumuler de charge.
Il existe deux types de condensateurs :
- 1) polaire ;
- 2) non polaire.
Comme vous pouvez le deviner d'après leur nom, les polaires ont une polarité (plus et moins) et sont connectés à des circuits électroniques dans le strict respect de la polarité : plus à plus, moins à moins. Sinon, le condensateur peut tomber en panne. Tous les condensateurs polaires sont électrolytiques.Il existe des électrolytes solides et liquides. La capacité varie de 0,1 ÷ 100000 uF. Les condensateurs non polaires n'ont pas d'importance sur la manière de se connecter ou de se souder dans le circuit, ils n'ont ni plus ni moins. Dans les condes non polaires, le matériau diélectrique est le papier, la céramique, le mica, le verre.
Ce sera intéressant Comment vérifier la varistance avec un multimètre?
Leur capacité n'est pas très grande, allant de quelques pF (picofarads) à des unités de microfarads (microfarads). Amis, certains d'entre vous peuvent se demander pourquoi ces informations inutiles ? Quelle est la différence entre polaire et non polaire ? Tout cela affecte la technique de mesure. Et avant de vérifier le condensateur avec un multimètre, vous devez comprendre quel type d'appareil est devant nous.
Comment tester un condensateur
Parfois, un dysfonctionnement d'un condensateur électrolytique est détecté sans vérification - par gonflement ou rupture du capot supérieur. Il est délibérément affaibli par une encoche en forme de croix et fonctionne comme une soupape de sécurité, se rompant à une légère pression. Sans cela, les gaz libérés de l'électrolyte rompraient le boîtier du condensateur avec des éclaboussures de tout le contenu.
Mais les violations peuvent ne pas apparaître extérieurement. Voici ce qu'ils sont :

- En raison de changements chimiques, la capacité de l'élément a diminué. Par exemple, les condensateurs à électrolyte liquide se dessèchent, en particulier à des températures élevées. En raison de cette caractéristique, il existe des restrictions sur la température de fonctionnement pour eux (la plage autorisée est indiquée sur le boîtier).
- Une rupture de sortie s'est produite.
- Une conductivité est apparue entre les plaques (claquage). En fait, il existe et est en bon état - c'est ce qu'on appelle le courant de fuite. Mais lors d'une panne, cette valeur passe de maigre à significative.
- La tension maximale admissible a diminué (claquage réversible). Pour chaque condensateur, il existe une tension critique qui provoque un court-circuit entre les plaques. C'est indiqué sur le corps. En cas de diminution de ce paramètre, l'élément se comporte comme s'il était utilisable pendant les tests, car les testeurs fournissent une basse tension, mais dans le circuit, c'est comme un cassé.
La façon la plus primitive de tester un condensateur est une étincelle. L'élément est chargé, puis les bornes sont fermées avec un outil métallique avec une poignée isolée. Il est conseillé de porter des gants en caoutchouc sur vos mains. Un élément réparable est déchargé avec la formation d'une étincelle et d'un craquement caractéristique, un élément non fonctionnel est lent et imperceptible.
Cette méthode a deux inconvénients :
- danger de blessure électrique ;
- incertitude : même en présence d'une étincelle, il est impossible de comprendre si la capacité réelle du composant radio correspond à la capacité nominale.
Une vérification plus informative à l'aide d'un testeur. Il est préférable d'utiliser un spécial - LC-mètre. Il est conçu pour mesurer la capacité et est conçu pour une large gamme. Mais un multimètre ordinaire en dira également beaucoup sur l'état du condensateur.
Détermination de la capacité d'un condensateur inconnu
Méthode numéro 1 : mesure de capacité avec des appareils spéciaux
Le moyen le plus simple consiste à mesurer la capacité avec un instrument de mesure de capacité. C'est déjà clair, et cela a déjà été mentionné au début de l'article et il n'y a rien de plus à ajouter.

Si les appareils sont complètement ternes, vous pouvez essayer d'assembler un simple testeur fait maison. Sur Internet, vous pouvez trouver de bons schémas (plus compliqués, plus simples, très simples).
Eh bien, ou déboursez, enfin, pour un testeur universel qui mesure la capacité jusqu'à 100 000 microfarads, l'ESR, la résistance, l'inductance, vous permet de vérifier les diodes et de mesurer les paramètres des transistors. Combien de fois m'a-t-il sauvé !
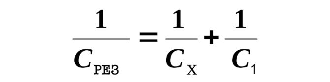
Méthode numéro 2 : mesurer la capacité de deux condensateurs en série
Parfois, il arrive qu'il existe un multimètre avec une jauge de capacité, mais sa limite ne suffit pas. Habituellement, le seuil supérieur des multimètres est de 20 ou 200 uF, et nous devons mesurer la capacité, par exemple, à 1200 uF. Comment être alors ?
La formule de la capacité de deux condensateurs connectés en série vient à la rescousse :

L'essentiel est que la capacité résultante Ccut de deux condensateurs en série sera toujours inférieure à la capacité du plus petit de ces condensateurs. En d'autres termes, si nous prenons un condensateur de 20 uF, quelle que soit la taille de la capacité du deuxième condensateur, la capacité résultante sera toujours inférieure à 20 uF.
Ainsi, si la limite de mesure de notre multimètre est de 20 uF, alors le condensateur inconnu doit être en série avec le condensateur pas plus de 20 uF.

Il ne reste plus qu'à mesurer la capacité totale de la chaîne de deux condensateurs connectés en série. La capacité d'un condensateur inconnu est calculée par la formule :
Par exemple, calculons la capacité d'un grand condensateur Cx à partir de la photo ci-dessus. Pour effectuer la mesure, un condensateur C1 de 10,06 uF est connecté en série avec ce condensateur (il a été mesuré précédemment). On peut voir que la capacité résultante était Cres = 9,97 μF.
Nous substituons ces nombres dans la formule et obtenons :

Méthode numéro 3: mesurer la capacité à travers la constante de temps du circuit
Comme vous le savez, la constante de temps d'un circuit RC dépend de la valeur de la résistance R et de la valeur de la capacité Cx : La constante de temps est le temps qu'il faut pour que la tension aux bornes du condensateur diminue d'un facteur e (où e est la base du logarithme népérien, approximativement égale à 2,718).
Ainsi, si vous détectez combien de temps le condensateur se déchargera à travers une résistance connue, il ne sera pas difficile de calculer sa capacité.
Pour améliorer la précision de la mesure, il est nécessaire de prendre une résistance avec un écart de résistance minimum. Je pense que 0,005 % ira bien =)

Bien que vous puissiez prendre une résistance ordinaire avec une erreur de 5 à 10 % et mesurer bêtement sa résistance réelle avec un multimètre. Il est souhaitable de choisir une résistance telle que le temps de décharge du condensateur soit plus ou moins sain (10-30 secondes).
Voici un gars qui l'a très bien dit dans une vidéo :
Autres façons de mesurer la capacité
Il est également possible d'estimer très grossièrement la capacité d'un condensateur grâce au taux de croissance de sa résistance au courant continu en mode de continuité. Cela a déjà été mentionné lorsqu'il s'agissait de vérifier une pause.
La luminosité de l'ampoule (voir méthode de recherche de court-circuit) donne également une estimation très grossière de la capacité, mais néanmoins, cette méthode a le droit d'exister.
Il existe également une méthode pour mesurer la capacité en mesurant sa résistance AC. Un exemple de mise en œuvre de cette méthode est le circuit en pont le plus simple :

En faisant tourner le rotor du condensateur variable C2, l'équilibre du pont est atteint (l'équilibrage est déterminé par les lectures minimales du voltmètre). L'échelle est pré-calibrée en termes de capacité du condensateur mesuré. Le commutateur SA1 sert à commuter la plage de mesure.La position fermée correspond à une échelle de 40...85 pF. Les condensateurs C3 et C4 peuvent être remplacés par les mêmes résistances.
L'inconvénient du circuit est qu'un générateur de tension alternative est nécessaire, ainsi qu'un pré-étalonnage est nécessaire.
Procédure de vérification
Certains défauts peuvent être détectés sans l'appareil. Par conséquent, avant de l'utiliser, vous devez compléter les 2 premiers points.
Inspection visuelle
Même un léger gonflement du boîtier est un signe clair d'un dysfonctionnement. Autres défauts faciles à détecter visuellement :
- l'apparition de fuites (typiques des "électrolytes");
- changer la couleur de la coque;
- la présence de signes d'effets thermiques dans cette zone (délaminage des pistes, assombrissement de la planche, etc.).
Vérification de la fiabilité de la fixation
Vous devez essayer de secouer le conteneur s'il est soudé à la carte électronique. Naturellement, soigneusement. Lorsque l'une des jambes se casse, vous le sentirez immédiatement.

Essai de résistance
Si vous devez travailler avec "l'électrolyte", sa polarité est importante ici. La borne positive est indiquée sur le corps par une étiquette "+". Par conséquent, les bornes de l'appareil sont connectées en conséquence. Plus - à "+", moins - à "-". Mais c'est pour les "électrolytes". Lors de la vérification du papier des condensateurs, de la céramique, etc., aucune différence. La limite de mesure est le maximum.
Que regarder? Comment se déplace la flèche ? Selon la valeur du condensateur, il se précipitera immédiatement vers "∞" ou ira lentement au bord de l'échelle. Mais l'essentiel est que lorsqu'il bouge, il ne devrait pas y avoir de sauts (à-coups).
- S'il y a une panne (court-circuit) dans la pièce, alors la flèche restera à zéro.
- Avec une falaise interne, il ira brusquement à "l'infini".
Par conteneur
Dans ce cas, vous aurez besoin d'un appareil numérique.Il convient de noter que tous les multimètres ne sont pas capables d'effectuer un tel test, et s'ils le peuvent, le résultat sera assez approximatif. À tout le moins, vous ne devriez pas trop vous fier aux produits "fabriqués en Chine".
La manière de connecter la pièce à l'appareil est écrite dans ses instructions (section "Mesure de capacité"). Si nous parlons de "l'électrolyte", encore une fois - avec le respect de la polarité.
Approximativement, il est possible de déterminer la conformité avec la capacité nominale indiquée sur le corps de la pièce avec un dispositif de pointage. S'il est petit, lors de la vérification de la résistance, la flèche dévie assez rapidement, mais pas brusquement. Avec une capacité importante, la charge se déroule plus lentement, ce qui est clairement visible. Mais encore une fois, ce n'est qu'une preuve indirecte de l'adéquation du condensateur, indiquant qu'il n'y a pas de court-circuit et qu'il prend une charge. Un courant de fuite accru ne peut pas être déterminé de cette manière.
Astuces utiles
Si le circuit tombe en panne, vous devez faire attention à la date de sortie des condensateurs dans un circuit particulier. Pendant 5 ans, ce composant radio "s'assèche" d'environ 55 à 75%. Cela n'a aucun sens de perdre du temps à vérifier l'ancienne capacité - il vaut mieux la changer tout de suite
Même si le condensateur, en principe, fonctionne, il introduit déjà certaines distorsions. Cela s'applique principalement aux circuits à impulsions que l'on peut rencontrer, par exemple, lors de la réparation d'une «soudeuse» de type onduleur. Et idéalement, il est conseillé de changer ces éléments de chaîne tous les deux ans.
Pour que les résultats de mesure soient aussi précis que possible, une pile « neuve » doit être insérée dans l'appareil avant de vérifier la capacité.
Avant le test, le condensateur doit être soudé hors du circuit (ou au moins une de ses pattes). Pour les grandes pièces avec câblage - 1 d'entre elles est déconnectée.Sinon, il n'y aura pas de vrai résultat. Par exemple, la chaîne "sonnera" à travers une autre section.
Pendant le test du condensateur, ne touchez pas ses bornes avec vos mains. Par exemple, appuyez la sonde sur les jambes avec vos doigts. La résistance de notre corps est d'environ 4 ohms, il est donc totalement inutile de vérifier le composant radio de cette manière.
Cela n'a aucun sens de passer du temps à vérifier l'ancienne capacité - il vaut mieux la changer tout de suite. Même si le condensateur, en principe, fonctionne, il introduit déjà certaines distorsions. Cela s'applique principalement aux circuits à impulsions que l'on peut rencontrer, par exemple, lors de la réparation d'une «soudeuse» de type onduleur. Et idéalement, il est conseillé de changer ces éléments de chaîne tous les deux ans.
Pour que les résultats de mesure soient aussi précis que possible, une pile « neuve » doit être insérée dans l'appareil avant de vérifier la capacité.
Avant le test, le condensateur doit être soudé hors du circuit (ou au moins une de ses pattes). Pour les grandes pièces avec câblage - 1 d'entre elles est déconnectée. Sinon, il n'y aura pas de vrai résultat. Par exemple, la chaîne "sonnera" à travers une autre section.
Pendant le test du condensateur, ne touchez pas ses bornes avec vos mains. Par exemple, appuyez la sonde sur les jambes avec vos doigts. La résistance de notre corps est d'environ 4 ohms, il est donc totalement inutile de vérifier le composant radio de cette manière.
Vérification avec des testeurs
Séquençage :
- Nous passons l'ohmmètre ou le multimètre à la limite supérieure des mesures.
- On décharge en fermant le contact central (fil) sur le boîtier.
- Nous connectons une sonde de l'appareil de mesure au fil, la seconde - au corps.
- L'état de fonctionnement de la pièce est indiqué par une déviation douce de la flèche ou une modification des valeurs numériques.
Si la valeur « 0 » ou « infini » s'affiche immédiatement, cela signifie que la pièce testée doit être remplacée. Pendant le test, il est impossible de toucher les bornes du dispositif de stockage d'énergie ou les sondes de l'appareil qui y est connecté, sinon la résistance de votre corps sera mesurée, et non l'élément à l'étude.

Capacité
Pour mesurer la capacité, vous avez besoin d'un multimètre numérique avec la fonction appropriée.
Procédure:
- On règle le multimètre en mode de détermination de capacité (Cx) sur la position correspondant à la valeur attendue de la pièce étudiée.
- Nous connectons les fils à un connecteur spécial ou aux sondes du multimètre.
- L'écran affiche la valeur.
Vous pouvez également déterminer la taille de la capacité selon le principe "petit-grand" sur un multimètre classique. Avec une petite valeur de l'indicateur, la flèche s'écartera plus rapidement et plus la «capacité» est grande, plus le pointeur se déplacera lentement.

Tension
En plus de la capacité, vous devez vérifier la tension de fonctionnement. Sur une pièce en bon état, il correspond à celui indiqué sur le boîtier. Pour vérifier, vous aurez besoin d'un voltmètre ou d'un multimètre, ainsi que d'une source de charge pour l'élément étudié avec une tension inférieure.
On fait une mesure sur une pièce chargée et on la compare avec la valeur nominale
Vous devez agir avec prudence et rapidité, car au cours du processus, la charge du lecteur est perdue et il est important de se souvenir du premier chiffre
La résistance
Lors de la mesure de la résistance avec un multimètre ou un ohmmètre, l'indicateur ne doit pas se trouver dans les positions extrêmes de la mesure. Les valeurs "0" ou "infini" indiquent respectivement un court-circuit ou un circuit ouvert.
Les variateurs non polaires avec une capacité supérieure à 0,25 uF peuvent être testés en réglant la plage de mesure sur 2 MΩ.Sur une bonne partie, l'indicateur sur l'écran doit être supérieur à 2.

Comment fonctionne un condensateur et pourquoi est-il nécessaire
Un condensateur est un élément radio électronique passif. Son principe de fonctionnement est similaire à celui d'une batterie - elle accumule de l'énergie électrique en elle-même, mais en même temps elle a un cycle de décharge et de charge très rapide. Une définition plus spécialisée dit qu'un condensateur est un composant électronique utilisé pour stocker de l'énergie ou une charge électrique, constitué de deux plaques (conducteurs) séparées par un matériau isolant (diélectrique).
circuit de condensateur simple
Alors, quel est le principe de fonctionnement de cet appareil ? Sur une plaque (négative), un excès d'électrons est collecté, sur l'autre - un déficit. Et la différence entre leurs potentiels sera appelée tension. (Pour une compréhension rigoureuse, vous devez lire, par exemple : I.E. Tamm Fundamentals of the Theory of Electricity)
Selon le matériau utilisé pour la doublure, les condensateurs sont divisés en:
- solide ou sec;
- électrolytique - liquide;
- oxyde-métal et oxyde-semi-conducteur.
Selon le matériau isolant, ils sont divisés en types suivants:
- papier;
- film;
- papier et film combinés;
- fine couche;
- …
Le plus souvent, la nécessité de vérifier à l'aide d'un multimètre survient lorsque vous travaillez avec des condensateurs électrolytiques.

Condensateur céramique et électrolytique
La capacité d'un condensateur est inversement proportionnelle à la distance entre les conducteurs et directement proportionnelle à leur surface. Plus ils sont grands et proches les uns des autres, plus la capacité est grande. Elle est mesurée à l'aide d'un microfarad (mF).Les couvertures sont faites de papier d'aluminium, torsadé en un rouleau. Une couche d'oxyde appliquée sur l'une des faces joue le rôle d'isolant. Pour assurer la capacité la plus élevée de l'appareil, un papier très fin imprégné d'électrolyte est posé entre les couches de feuille. Un condensateur papier ou film réalisé selon cette technologie est bon car les plaques séparent la couche d'oxyde en plusieurs molécules, ce qui permet de créer des éléments volumétriques de grande capacité.

Dispositif à condensateur (un tel rouleau est placé dans un boîtier en aluminium, qui à son tour est placé dans une boîte isolante en plastique)
Aujourd'hui, les condensateurs sont utilisés dans presque tous les circuits électroniques. Leur échec est le plus souvent associé à l'expiration de la date d'expiration. Certaines solutions électrolytiques se caractérisent par un "retrait", au cours duquel leur capacité diminue. Cela affecte le fonctionnement du circuit et la forme du signal qui le traverse. Il est à noter que cela est typique même pour les éléments non connectés au circuit. La durée de vie moyenne est de 2 ans. Avec cette fréquence, il est recommandé de vérifier tous les éléments installés.

Désignation des condensateurs sur le schéma. Régulier, électrolytique, variable et tondeuse.
Comment tester un condensateur avec un multimètre
L'industrie produit plusieurs types d'équipements de test pour mesurer les paramètres électriques. Les numériques sont plus pratiques pour les mesures et donnent des lectures précises. Les aiguillages sont privilégiés pour le mouvement visuel des flèches.
Si le conder semble absolument intact, il est impossible de le vérifier sans instruments. Il est préférable de vérifier avec la soudure du circuit. Ainsi, les indicateurs sont lus avec plus de précision. Les pièces simples échouent rarement.Les diélectriques sont souvent mécaniquement endommagés. La principale caractéristique lors du test est le passage du courant alternatif uniquement. La permanente a lieu exclusivement au tout début pendant une courte période de temps. La résistance de la pièce dépend de la capacité existante.
Une condition préalable pour vérifier l'opérabilité d'un condensateur électrolytique polaire avec un multimètre est une capacité de plus de 0,25 microfarads. Instructions de vérification étape par étape :
- Déchargez l'élément. Pour cela, ses pattes sont raccourcies avec un objet métallique. La fermeture se caractérise par l'apparition d'une étincelle et d'un son.
- Le commutateur du multimètre est réglé sur la valeur de résistance.
- Touchez les sondes aux pattes du condensateur, en tenant compte de la polarité. Rouge sur la jambe positive, noir dans la jambe négative. Cela n'est nécessaire que lorsque vous travaillez avec un appareil polaire.
Le condensateur commence à se charger lorsque les sondes sont connectées. La résistance atteint son maximum. Si, avec les sondes, le multimètre grince à zéro, alors un court-circuit s'est produit. Si la valeur 1 s'affiche immédiatement sur le cadran, alors il y a une rupture interne dans l'élément. Ces conders sont considérés comme défectueux - un court-circuit et une rupture à l'intérieur de l'élément sont irrécupérables.
Si la valeur 1 apparaît après un certain temps, l'élément est considéré comme sain.
Tester un condensateur non polaire est encore plus simple. Sur le multimètre, nous réglons la mesure en mégaohms. Après avoir touché les sondes, nous regardons les lectures. S'ils sont inférieurs à 2 MΩ, la pièce est défectueuse. Plus c'est correct. Il n'est pas nécessaire de respecter la polarité.
Électrolytique
Comme son nom l'indique, les condensateurs électrolytiques à boîtier en aluminium sont remplis d'électrolyte entre les plaques. Les dimensions sont très différentes - des millimètres aux dizaines de décimètres.Les caractéristiques techniques peuvent dépasser celles des non polaires de 3 ordres de grandeur et atteindre de grandes valeurs - unités de mF.

Dans les modèles électrolytiques, un défaut supplémentaire associé à l'ESR (résistance série équivalente) apparaît. Cet indicateur est également abrégé en ESR. De tels condensateurs dans les circuits haute fréquence filtrent le signal porteur des parasites. Mais la suppression des champs électromagnétiques est possible, réduisant considérablement le niveau et jouant le rôle d'une résistance. Cela conduit à une surchauffe de la structure de la pièce.
Qu'est-ce qui compose l'ESR :
- résistance des plaques, des fils, des nœuds de connexion ;
- inhomogénéité des diélectriques, humidité, impuretés parasites ;
- résistance électrolytique due aux modifications des paramètres chimiques pendant le chauffage, le stockage, le séchage.
Dans les circuits complexes, l'indicateur EPS est particulièrement important, mais il n'est mesuré qu'avec des appareils spéciaux. Certains artisans les fabriquent eux-mêmes et les utilisent en conjonction avec des multimètres conventionnels.
Céramique
Tout d'abord, nous inspectons visuellement l'appareil. Soyez particulièrement prudent si des pièces usagées sont utilisées dans le circuit. Mais même les nouveaux matériaux céramiques peuvent être défectueux. Les conders en panne sont immédiatement perceptibles - assombris, enflés, brûlés, avec un corps fissuré. De tels composants électriques sont rejetés sans équivoque même sans vérification instrumentale - il est clair qu'ils sont inopérants ou ne donnent pas les paramètres assignés. Il vaut mieux assister à la recherche des causes des pannes. Même les nouveaux spécimens avec une fissure dans la coque sont une "bombe à retardement".

Film
Les dispositifs à film sont utilisés dans les circuits à courant continu, les filtres, les circuits résonnants standard. Les principaux dysfonctionnements des appareils à faible consommation :
- diminution des performances à la suite du séchage;
- augmentation des paramètres de courant de fuite ;
- augmentation des pertes actives dans le circuit ;
- fermeture sur les plaques;
- perte de contact;
- rupture du conducteur.
Il est possible de mesurer la capacité d'un condensateur en mode test. Les modèles de flèche répondent en déviant la flèche avec un saut et en revenant à zéro. Avec une légère déviation, les flèches diagnostiquent une fuite de courant à faible capacité.
Le faible rendement avec un faible niveau de puissance et un courant de fuite élevé empêche la large application de ces condensateurs et ne permet pas de réaliser leur plein potentiel. Par conséquent, l'utilisation de ce type de conder n'est pas pratique.

Bloc de boutons de commande : tâches de mesure
Il est situé directement sous l'écran LCD. Les noms des boutons et leurs fonctions sont rassemblés dans un tableau.
| Nom du bouton | Les fonctions |
| Plage/Supprimer | Commutation de la plage de mesure manuelle / effacement des informations avec suppression des données de la mémoire. |
| Magasin | Stocke les données affichées dans la mémoire de l'instrument avec le symbole Sto affiché à l'écran. Une longue pression sur le bouton ouvre un menu permettant de définir les options de sauvegarde automatique. |
| Rappeler | Afficher les données de la mémoire. |
| Maximum minimum | Lorsque vous appuyez une fois, les valeurs minimale et maximale de la valeur mesurée sont affichées. Une pression prolongée lance le mode PeakHold, qui prend en compte les valeurs de courant et de tension de crête. |
| tenir | Appuyer une fois - maintenir (fixer) les données sur l'écran Appuyer deux fois - ramener le mode de mesure par défaut (Esc) Appuyer et maintenir enfoncé - passer au mode de rétroéclairage de l'écran. |
| Rel | Active le mode de mesure des valeurs relatives. |
| Hz% | Une pression prolongée active le menu des paramètres du système - mode de configuration. Une seule pression permet de basculer entre les modes de mesure de fréquence avec rapport cyclique et permet également de sélectionner la direction dans le menu des paramètres. |
| Ok/Sélectionner/V.F.C. (Bouton en bleu) | En appuyant une fois - le choix des fonctions dans les paramètres est activé (mode de sélection). Appuyez et maintenez - Mode de mesure avec filtres passe-bas. |













































