- Option de calcul PC
- Calcul du volume d'eau présent dans l'ensemble du système
- Comment la masse et la qualité sont-elles liées ?
- Avantages et inconvénients du laminage de tubes en acier
- Calcul du volume de tuyau
- Déterminer la section transversale du tuyau
- La formule pour calculer le volume d'un tuyau
- Le volume de l'approvisionnement en eau en litres
- Diamètre intérieur et extérieur, épaisseur de paroi, rayon
- Méthode simplifiée de calcul du poids des tuyaux
- Pourquoi avons-nous besoin de calculs de paramètres de tuyauterie
- 4 Calcul du poids d'un tube profilé selon la formule
- Pourquoi vous devrez peut-être calculer l'eau dans le tuyau
- Pour les égouts
- Le volume du coin et de l'obélisque
- Formulation du problème
Option de calcul PC
Effectuer le calcul à l'aide d'un ordinateur est le moins laborieux - tout ce qui est demandé à une personne est d'insérer les données nécessaires dans les colonnes appropriées.
Par conséquent, un calcul hydraulique se fait en quelques minutes, et cette opération ne nécessite pas un grand stock de connaissances, ce qui est nécessaire lors de l'utilisation de formules.
Pour sa mise en œuvre correcte, il est nécessaire de prendre les données suivantes des spécifications techniques :
- densité de gaz ;
- coefficient de viscosité cinétique ;
- température du gaz dans votre région.
Les conditions techniques nécessaires sont obtenues auprès du service du gaz de la ville de la localité où le gazoduc sera construit.En fait, la conception de tout pipeline commence avec la réception de ce document, car il contient toutes les exigences de base pour sa conception.
L'utilisation de programmes spéciaux est la méthode de calcul hydraulique la plus simple, à l'exclusion de la recherche et de l'étude de formules de calcul.
Ensuite, le développeur doit connaître la consommation de gaz de chaque appareil qu'il est prévu de connecter au gazoduc. Par exemple, si le combustible doit être transporté dans une maison privée, puis des poêles pour la cuisson, toutes sortes de chaudières de chauffage y sont le plus souvent utilisées, et les numéros nécessaires sont toujours dans leurs passeports.
De plus, vous devrez connaître le nombre de brûleurs pour chaque poêle qui sera connecté au tuyau.
À l'étape suivante de la collecte des données nécessaires, des informations sont sélectionnées sur la chute de pression sur les sites d'installation de tout équipement - il peut s'agir d'un compteur, d'une vanne d'arrêt, d'une vanne d'arrêt thermique, d'un filtre et d'autres éléments .
Dans ce cas, il est facile de trouver les numéros nécessaires - ils sont contenus dans un tableau spécial joint au passeport de chaque produit.
Le concepteur doit faire attention au fait que la chute de pression à la consommation maximale de gaz doit être indiquée.
À partir d'un tableau spécial joint au passeport du produit, vous pouvez trouver des informations sur la perte de pression lors de la connexion d'appareils au réseau
À l'étape suivante, il est recommandé de savoir quelle sera la pression de carburant bleue au point de raccordement. Ces informations peuvent contenir les spécifications techniques de votre Gorgaz, un schéma préalablement établi du futur gazoduc.
Si le réseau se compose de plusieurs sections, elles doivent être numérotées et indiquer la longueur réelle.De plus, pour chacun, tous les indicateurs variables doivent être prescrits séparément - il s'agit du débit total de tout appareil qui sera utilisé, de la chute de pression et d'autres valeurs.
Un facteur de simultanéité est requis. Il prend en compte la possibilité d'exploitation en commun de tous les consommateurs de gaz raccordés au réseau. Par exemple, tous les équipements de chauffage situés dans un immeuble à appartements ou une maison privée.
Ces données sont utilisées par le programme de calcul hydraulique pour déterminer la charge maximale dans n'importe quelle section ou dans l'ensemble du gazoduc.
Pour chaque appartement ou maison individuel, le coefficient spécifié n'a pas besoin d'être calculé, car ses valeurs sont connues et sont indiquées dans le tableau ci-dessous:
Un tableau avec des coefficients de simultanéité, dont les données sont utilisées dans tout type de calcul. Il suffit de sélectionner la colonne correspondant à un appareil électroménager particulier et de prendre le numéro souhaité
Si, dans une installation, il est prévu d'utiliser plus de deux chaudières, fours, chauffe-eau à accumulation, l'indicateur de simultanéité sera toujours de 0,85. Lequel devra être indiqué dans la colonne correspondante utilisée pour le calcul du programme.
Ensuite, vous devez spécifier le diamètre des tuyaux et vous aurez également besoin de leurs coefficients de rugosité, qui seront utilisés dans la construction du pipeline. Ces valeurs sont standard et peuvent être facilement trouvées dans le Rulebook.
Calcul du volume d'eau présent dans l'ensemble du système
Pour déterminer un tel paramètre, il est nécessaire de substituer la valeur du rayon intérieur dans la formule. Cependant, un problème apparaît immédiatement. Et comment calculer le volume total d'eau dans le tuyau de l'ensemble du système de chauffage, qui comprend:
- radiateurs;
- Vase d'expansion ;
- Chaudière de chauffage.
Tout d'abord, le volume du radiateur est calculé. Pour ce faire, son passeport technique est ouvert et les valeurs du volume d'une section sont écrites. Ce paramètre est multiplié par le nombre de sections dans une batterie particulière. Par exemple, un est égal à 1,5 litre.
Lorsqu'un radiateur bimétallique est installé, cette valeur est bien inférieure. La quantité d'eau dans la chaudière peut être trouvée dans le passeport de l'appareil.
Pour déterminer le volume du vase d'expansion, celui-ci est rempli d'une quantité prémesurée de liquide.
Il est très facile de déterminer le volume des tuyaux. Les données disponibles pour un mètre, un certain diamètre, doivent simplement être multipliées par la longueur de l'ensemble du pipeline.
Notez que dans le réseau mondial et la littérature de référence, vous pouvez voir des tableaux spéciaux. Ils affichent des données produit indicatives. L'erreur des données fournies est assez faible, de sorte que les valeurs indiquées dans le tableau peuvent être utilisées en toute sécurité pour calculer le volume d'eau.
Je dois dire que lors du calcul des valeurs, vous devez prendre en compte certaines différences caractéristiques. Les tuyaux métalliques de grand diamètre laissent passer beaucoup moins d'eau que les mêmes tuyaux en polypropylène.
La raison réside dans la douceur de la surface des tuyaux. Dans les produits en acier, il est fabriqué avec une grande rugosité. Les tuyaux en PPR n'ont pas de rugosité sur les parois intérieures. Cependant, dans le même temps, les produits en acier ont un volume d'eau plus important que dans les autres tuyaux de la même section. Par conséquent, pour vous assurer que le calcul du volume d'eau dans les tuyaux est correct, vous devez revérifier toutes les données plusieurs fois et sauvegarder le résultat avec une calculatrice en ligne.
Comment la masse et la qualité sont-elles liées ?
Par le poids du segment mesuré, vous pouvez comprendre: le fabricant de ce produit a-t-il triché, a-t-il économisé sur le processus de production, le tuyau est-il conforme à GOST. Après tout, la densité du tuyau est une valeur constante et le volume de métal utilisé pour fabriquer le produit est déterminé par GOST et la conscience du fabricant.
Et si la masse du segment mesuré, déterminée en multipliant le volume du matériau par la densité, est inférieure à celle indiquée dans le tableau des poids des tubes profilés, vous ne pouvez plus vous interroger sur la qualité de tels produits: un tel produit ne convient que pour la refusion.
Cependant, ce n'est peut-être pas si mal. Après tout, l'acheteur peut simplement faire une erreur dans le calcul du poids. Cette situation se produit assez souvent. Par conséquent, afin de ne pas accuser les fabricants honnêtes sans fondement, l'acheteur d'un tuyau profilé doit connaître la méthode de calcul de la masse du produit. Et dans cet article, nous vous présenterons plusieurs méthodes qui vous permettent de déterminer la valeur de poids d'un tuyau profilé même sur le terrain.
Avantages et inconvénients du laminage de tubes en acier
Les produits en acier présentent de nombreux avantages auxquels il est recommandé de prêter attention. Tout d'abord, il convient de noter que les pièces fabriquées à partir de cet alliage se distinguent par des caractéristiques de résistance élevée.
C'est ce fait qui détermine leur large distribution dans l'industrie de la construction, où la solidité des produits est l'un des principaux indicateurs. Une large gamme de pièces est également considérée comme un avantage important, car elle vous permet d'étendre leur portée opérationnelle. Sur le marché de la construction, vous pouvez facilement choisir des pièces dont la forme et les caractéristiques techniques sont adaptées.

Les tuyaux métalliques se caractérisent par des caractéristiques de haute résistance
Tous les tuyaux en acier peuvent être divisés en trois catégories :
- tour;
- profilé (carré et rectangulaire);
- non standard (multiforme).
Un sérieux avantage inhérent à ces produits est qu'ils ont une haute résistance aux contraintes mécaniques. Les tuyaux en acier tolèrent parfaitement la pression et les chocs. Il convient de noter qu'ils ont un coût acceptable et appartiennent au segment de prix moyen.
Une grande variété de types de pièces leur permet d'être utilisées dans divers domaines: construction, ménage, etc. Les produits en acier ont une petite expansion linéaire
C'est un avantage très important, car de nombreux tuyaux se dilatent lorsqu'ils sont chauffés, et s'ils sont placés dans une chape, cela peut entraîner des fissures.
Afin de répondre à la question de savoir comment calculer le poids d'un tuyau, vous devez connaître toutes les méthodes qui vous permettent d'effectuer ce calcul. La connaissance de la masse des produits sidérurgiques est requise à toutes les étapes, de leur acquisition à leur installation.

Une grande variété de tuyaux en acier leur permet d'être utilisés dans divers domaines de la vie.
Calcul du volume de tuyau
Pour calculer le volume d'un tuyau, vous devez utiliser les connaissances scolaires en géométrie. Il existe plusieurs façons: 1. En multipliant la section transversale de la figure par sa longueur en mètres, le résultat sera en mètres cubes. 2. Il est possible de connaître la taille de l'approvisionnement en eau en litres. Pour ce faire, le volume est multiplié par 1000 - c'est le nombre de litres d'eau dans 1 mètre cube. 3. La troisième option consiste à compter immédiatement en litres. Vous devrez effectuer des mesures en décimètres - la longueur et la surface de la figure. C'est une manière plus compliquée et peu pratique.
Pour calculer manuellement - sans calculatrice, vous aurez besoin d'un pied à coulisse, d'une règle et d'une calculatrice. Pour faciliter le processus de détermination de la taille du volume du tuyau, vous pouvez utiliser la calculatrice en ligne.
Déterminer la section transversale du tuyau
Pour connaître exactement
valeur, vous devez d'abord calculer l'aire de la section. Pour ça,
la formule doit être utilisée :
S = R2 x Pi
Où R est le rayon du tuyau et Pi est 3,14. Étant donné que les contenants de liquide sont généralement ronds, R est au carré.
Voyons comment nous pouvons
faire des calculs, ayant un diamètre de produit de 90 mm:
- Déterminez le rayon - 90 / 2 = 45 mm, en
en termes de centimètres 4.5. - Nous carré 4,5, il s'avère 2,025 cm2.
- Nous substituons les données dans la formule - S \u003d 2 x 20,25
= 40,5 cm2.
Si le produit
profilé, alors vous devez calculer selon la formule du rectangle - S \u003d a x b, où a
et b est la taille des côtés (longueur). Lors de la détermination de la taille d'une section de profil avec une longueur
côtés 40 et 50, il faut 40 mm x 50 mm = 2000 mm2 ou 20 cm2.

Pour calculer la section,
vous devez connaître le diamètre intérieur du tuyau, qui est mesuré avec un pied à coulisse,
mais ce n'est pas toujours possible. Si seul le diamètre extérieur est connu, et nous ne savons pas
l'épaisseur de la paroi, des calculs plus complexes seront nécessaires. Épaisseur standard
parfois 1 ou 2 mm, pour les produits de gros diamètre il peut atteindre 5 mm.
Important!
Il est préférable de commencer le calcul s'il existe des indicateurs précis de l'épaisseur des murs et
rayon intérieur
Formule
calcul du volume du tuyau
Calculer le volume du tuyau en m3,
tu peux utiliser la formule :
V = S x L
C'est-à-dire qu'il faut savoir
seulement deux valeurs : l'aire de la section (qui a été déterminée à l'avance) (S) et
longueur (L).
Par exemple, la longueur
le pipeline mesure 2 mètres et la section transversale est d'un demi-mètre. Pour le calcul il faut
prendre la formule pour déterminer l'aire d'un cercle et insérer la dimension extérieure
traverses métalliques :
S = 3,14 x (0,5 / 2) =
0,0625 m²
Le résultat final sera le suivant :
V = SH = 2 x 0,0625 = 0,125
mètre cube.
H est l'épaisseur de paroi
Lors du calcul, il est important
de sorte que tous les indicateurs ont une unité de mesure, sinon le résultat
tournera mal. Il est plus facile de prendre des données en cm2
Le volume de l'approvisionnement en eau en litres
Il est facile de calculer le volume de liquide dans un tuyau sans calculatrice si l'on connaît son diamètre intérieur, mais ce n'est pas toujours le cas
peut être fait lorsque les radiateurs ou les chaudières de chauffage pour l'eau ont un complexe
forme. Aujourd'hui, ces produits sont souvent utilisés dans l'industrie de la construction, avec
disposition des planchers chauds. Par conséquent, vous devez d'abord connaître les paramètres
conception, ces informations peuvent être trouvées dans la fiche technique ou
Documentation. Pour calculer la taille d'un conteneur non standard, vous devez remplir
en elle de l'eau, qui est mesurée à l'avance.
De plus, la cylindrée de l'eau dépendra
et du matériau à partir duquel la plomberie est fabriquée. Par exemple, un acier
passera un ordre de grandeur moins d'eau qu'un polypropylène de taille égale ou
Plastique. Ceci est affecté par la surface de l'intérieur, le fer est plus rugueux, ce qui
affecte la perméabilité.
Il faut donc faire
calculs pour chaque conteneur s'il est fait d'un matériau différent, et
puis additionnez tous les scores. Vous pouvez utiliser des
programmes de service ou calculatrices, aujourd'hui il y en a beaucoup sur Internet, ils
faciliter grandement le processus de détermination de la quantité d'eau dans le système.
Diamètre intérieur et extérieur, épaisseur de paroi, rayon
Les tuyaux sont un produit spécifique. Ils ont un diamètre intérieur et extérieur, puisque leur paroi est épaisse, son épaisseur dépend du type de tuyau et du matériau à partir duquel il est fabriqué. Les spécifications techniques indiquent souvent le diamètre extérieur et l'épaisseur de paroi.

Diamètre intérieur et extérieur du tuyau, épaisseur de paroi
Avec ces deux valeurs, il est facile de calculer le diamètre intérieur - soustrayez deux fois l'épaisseur de la paroi de l'extérieur : d = D - 2 * S. Si vous avez un diamètre extérieur de 32 mm, une épaisseur de paroi de 3 mm, alors le diamètre intérieur sera : 32 mm - 2 * 3 mm = 26 mm.
Si, au contraire, il existe un diamètre intérieur et une épaisseur de paroi, mais qu'un extérieur est nécessaire, nous ajoutons le double de l'épaisseur de la pile à la valeur existante.
Avec les rayons (désignés par la lettre R), c'est encore plus simple - c'est la moitié du diamètre: R = 1/2 D. Par exemple, trouvons le rayon d'un tuyau d'un diamètre de 32 mm. On divise juste 32 par deux, on obtient 16 mm.

Les mesures au pied à coulisse sont plus précises
Que faire s'il n'y a pas de données techniques sur les tuyaux ? Mesurer. Si une précision particulière n'est pas nécessaire, une règle ordinaire fera l'affaire ; pour des mesures plus précises, il est préférable d'utiliser un pied à coulisse.
Méthode simplifiée de calcul du poids des tuyaux
Eh bien, à la toute fin, nous vous révélerons un terrible secret : il existe une formule simplifiée pour calculer le poids d'un tuyau profilé de 1 m de long ! Et ce n'est même pas une formule, mais un ensemble de données tabulaires.
Des informations plus détaillées peuvent être trouvées dans GOST 8639-82, qui contient la valeur de la masse d'un segment de mètre, calculée pour chaque unité de l'assortiment de tubes profilés. Autrement dit, pour un calcul simplifié, nous devons prendre la valeur de la masse d'un tuyau coupé d'un mètre de long et multiplier cette valeur par la longueur du segment mesuré du produit. C'est tout.Et aucune complication !
Cependant, si GOST 8639-82 n'est pas à portée de main, les méthodes décrites dans les paragraphes précédents de cet article seront utiles. Alors, soit apprenez à calculer le poids à partir de la densité et du volume, soit procurez-vous un ouvrage de référence. Le choix t'appartient.
Pourquoi avons-nous besoin de calculs de paramètres de tuyauterie
Dans la construction moderne, on n'utilise pas seulement des tuyaux en acier ou galvanisés. Le choix est déjà assez large - PVC, polyéthylène (HDPE et PVD), polypropylène, métal-plastique, acier inoxydable ondulé. Ils sont bons car ils n'ont pas autant de masse que leurs homologues en acier. Néanmoins, lors du transport de produits polymères en grands volumes, il est souhaitable de connaître leur masse afin de comprendre quel type de machine est nécessaire. Le poids des tuyaux métalliques est encore plus important - la livraison est calculée en tonnage. Il est donc souhaitable de contrôler ce paramètre.

Ce qui ne se mesure pas se calcule
Connaître la surface extérieure tuyaux nécessaires pour acheter de la peinture et les matériaux d'isolation thermique. Seuls les produits en acier sont peints, car ils sont sujets à la corrosion, contrairement aux polymères. Il faut donc protéger la surface des effets des environnements agressifs. Ils sont utilisés le plus souvent pour la construction de clôtures, de charpentes pour dépendances (garages, cabanons, gazebos, vestiaires), de sorte que les conditions d'exploitation sont difficiles, une protection est nécessaire, car toutes les charpentes nécessitent une peinture. C'est là que la surface à peindre est requise - la zone extérieure du tuyau.
Lors de la construction d'un système d'alimentation en eau pour une maison privée ou un chalet, des tuyaux sont posés d'une source d'eau (puits ou puits) à la maison - sous terre. Et encore, pour qu'ils ne gèlent pas, une isolation est nécessaire. Vous pouvez calculer la quantité d'isolation en connaissant l'aire de la surface extérieure du pipeline.Seulement dans ce cas, il est nécessaire de prendre un matériau avec une marge solide - les joints doivent se chevaucher avec une marge substantielle.
La section transversale du tuyau est nécessaire pour déterminer le débit - si ce produit peut transporter la quantité requise de liquide ou de gaz. Le même paramètre est souvent nécessaire lors du choix du diamètre des tuyaux de chauffage et de plomberie, du calcul des performances de la pompe, etc.
4 Calcul du poids d'un tube profilé selon la formule
Le calcul d'un tube profilé selon la formule est basé sur le calcul du volume du métal des parois d'un morceau d'un produit de 1 m de long lorsque cette valeur est multipliée par la densité de l'alliage utilisé pour la fabrication de produits laminés , le poids théorique de 1 m de tuyau est obtenu. En multipliant ce poids par la longueur totale du produit, sa masse est déterminée. La formule de calcul de 1 m de produits de tubes profilés est la suivante :
m = 2*h*(A+B)*q, où
m est la masse de 1 m de tuyau, en kg ;
h est l'épaisseur de paroi du produit profilé, en m;
A et B sont les longueurs des côtés (hauteur, largeur) du profilé, en m ;
q est la masse volumique du métal (acier 7850 kg/m3).

Un exemple de calcul du poids théorique des produits de tubes profilés. Déterminons la masse des produits en acier 120x120x7 mm, 200 m de long Pour ce faire, nous convertissons d'abord toutes les dimensions en mètres. Alors A et B seront égaux à 0,12 m et h - 0,007 m.
m \u003d 2 * 0,007 * (0,12 + 0,12) * 7850 \u003d 26,376 kg - le poids de 1 mètre linéaire de tuyau 120x120x7.
Déterminer la masse totale pour 200 mètres :
26,376 * 200 = 5275,2 kg
Le poids théorique de 1 m obtenu par la formule diffère de la valeur tabulaire tirée de GOST - 24,18 kg. Cet écart est dû au fait que la formule de calcul proposée ne tient pas compte des arrondis externes et internes aux angles du profil d'un tuyau réel.Les calculs ont été effectués pour un produit de forme géométrique correcte (avec des angles droits), mais de tels produits ne sont pas réellement fabriqués. Et les valeurs théoriques des tables GOST ont été calculées en tenant compte de la géométrie réelle du profil des produits de tuyauterie, elles sont donc plus précises. Étant donné que les formules utilisées dans ces calculs sont beaucoup plus compliquées que celles données ci-dessus et nécessitent beaucoup plus de temps pour les calculs, nous ne les présentons pas. Dans des conditions où Internet et les ouvrages de référence ne sont pas à portée de main, un calcul rapide simplifié suffira pour déterminer le poids approximatif du tuyau. Et il vaut mieux connaître la masse exacte en pesant les produits.
Pourquoi vous devrez peut-être calculer l'eau dans le tuyau
Dans le système de plomberie d'une maison privée, il y a une canalisation de tuyaux, des radiateurs, un réservoir de liquide - un réservoir à membrane, ainsi que des chaudières, une chaudière et d'autres appareils. Le plancher calorifugé représente le système de la voie métallo-plastique disposée contenant le caloporteur dans un certain volume. Pour remplir complètement le système et savoir combien d'eau distillée acheter, vous devez calculer son volume total à l'avance.
Lors du remplissage du système de chauffage avec de l'antigel ou un autre liquide non gelant, afin d'économiser de l'argent, il est nécessaire de connaître le volume du tuyau. Lors de l'achat d'antigel concentré, il devra être dilué de moitié, donc plus de liquide coûtera plus cher et la concentration sera calculée de manière incorrecte.
Lors du calcul du volume, utilisez :
- diamètre intérieur des parois du tuyau ;
- la longueur du tronçon ou de l'ensemble de l'autoroute.
Dans le cas d'une différence dans la section interne, chaque section est calculée séparément, puis les nombres sont additionnés.
En plus de la ligne, le volume interne des appareils suivants doit être pris en compte :
- réservoir à membranes. Ces informations peuvent être lues dans la fiche technique ou vérifiées par vous-même en y versant une certaine quantité de liquide.
- Radiateurs. Ces données se trouvent également dans la fiche technique du produit. Le volume d'une section est multiplié par leur nombre dans toute la maison.
- Différents nœuds, câblage complexe, collecteurs contiennent également un certain volume de liquide, difficile à calculer en raison du grand nombre de raccords, d'adaptateurs et de robinets.
Pour les égouts
Il est important de calculer le volume d'eau dans le tuyau et le potentiel de la conduite lors de l'aménagement d'une fosse septique, car un manque de diamètre peut entraîner une mauvaise évacuation du liquide de la maison et le colmatage de l'égout. Si le nombre d'appareils électroménagers dans la maison dépasse la capacité des conduites d'égout en termes de consommation d'eau, le liquide remplira complètement la conduite
S'ils ne sont pas isolés en même temps, en hiver, les drains à l'intérieur peuvent geler et bloquer la conduite. Un bloc de glace peut également provoquer la rupture d'un tuyau à un point faible, comme des joints ou des virages serrés. Le volume des tuyaux d'égout en fonte devrait être plus important, car la surface en fonte est rugueuse de l'intérieur et le limon s'y accumule progressivement - une couche de matière organique qui réduit le dégagement et affecte le débit de l'autoroute. Les tuyaux en plastique sont meilleurs à cet égard - ils sont parfaitement lisses à l'intérieur, les particules organiques ne peuvent pas se fixer aux parois, de sorte que le volume calculé ne peut plus être augmenté.
Le volume des conduites d'égout internes ne doit pas être supérieur à la conduite externe.Cela conduit à des blocages dans la zone où les conduites d'égout internes et externes sont jointes. Le même principe s'applique au câblage interne - le volume de liquide des appareils électroménagers ne doit pas dépasser le volume que peut contenir la colonne montante principale de la maison.
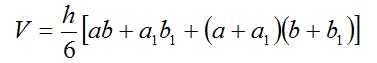
Le volume du coin et de l'obélisque
Le coin dans la technique est souvent un pentaèdre dont la base est un rectangle et les faces latérales sont des triangles isocèles ou des trapèzes. La formule pour calculer le volume d'un biseau est :
- a - côté de la base du pied du coin;
- un1 est la largeur de la pointe du coin ;
- b est l'épaisseur du coin;
- h est la hauteur du coin.
L'obélisque est un hexagone dont la base est constituée de rectangles situés dans des plans parallèles. Les faces opposées sont inclinées symétriquement vers la base de l'obélisque. Le volume de ce corps géométrique :

- a et b sont les dimensions de la longueur et de la largeur de la plus grande base de l'obélisque ;
- un un1 et B1 - la petite base de l'obélisque ;
- h est la hauteur de l'obélisque.
Formulation du problème
Le calcul hydraulique dans le développement d'un projet de pipeline vise à déterminer le diamètre du tuyau et la perte de charge du flux porteur. Ce type de calcul est effectué en tenant compte des caractéristiques du matériau de structure utilisé dans la fabrication de l'autoroute, du type et du nombre d'éléments qui composent le système de canalisation (sections droites, connexions, transitions, coudes, etc.), performance, propriétés physiques et chimiques de l'environnement de travail.
De nombreuses années d'expérience pratique dans l'exploitation de systèmes de canalisations ont montré que les canalisations à section circulaire présentent certains avantages par rapport aux canalisations à section transversale de toute autre forme géométrique:
- le rapport minimum du périmètre à la section transversale, c'est-à-dire avec une capacité égale à assurer la consommation du support, le coût des matériaux isolants et protecteurs dans la fabrication de tuyaux avec une section transversale en forme de cercle sera minime;
- une section transversale ronde est la plus avantageuse pour déplacer un milieu liquide ou gazeux du point de vue de l'hydrodynamique, le frottement minimum du support contre les parois du tuyau est atteint ;
- la forme de la section en forme de cercle est la plus résistante possible aux effets des contraintes externes et internes ;
- Le processus de fabrication des tubes ronds est relativement simple et abordable.
La sélection des tuyaux par diamètre et matériau est effectuée sur la base d'exigences de conception spécifiées pour un processus technologique spécifique. Actuellement, les éléments de pipeline sont normalisés et unifiés en diamètre. Le paramètre déterminant lors du choix d'un diamètre de tuyau est la pression de travail admissible à laquelle ce pipeline sera exploité.
Les principaux paramètres caractérisant le pipeline sont :
- diamètre conditionnel (nominal) - DN;
- pression nominale - PN;
- la pression (excessive) de fonctionnement admissible ;
- matériau de canalisation, dilatation linéaire, dilatation thermique linéaire ;
- propriétés physiques et chimiques de l'environnement de travail;
- ensemble complet du système de canalisation (branches, connexions, éléments de compensation de dilatation, etc.);
- matériaux d'isolation des canalisations.
Diamètre nominal (passage) de la canalisation (DN) est une valeur conditionnelle sans dimension qui caractérise le débit d'un tuyau, approximativement égale à son diamètre intérieur. Ce paramètre est pris en compte lors du montage des produits de canalisation associés (tuyaux, coudes, raccords, etc.).
Le diamètre nominal peut avoir des valeurs de 3 à 4000 et est noté : DN 80.
Le passage conditionnel, par définition numérique, correspond approximativement au diamètre réel de certaines sections de la canalisation. Numériquement, il est choisi de manière à ce que le débit du tuyau augmente de 60 à 100% lors du passage du passage conditionnel précédent au suivant.Le diamètre nominal est sélectionné en fonction de la valeur du diamètre interne du pipeline. Il s'agit de la valeur la plus proche du diamètre réel du tuyau lui-même.
La pression nominale (PN) est une valeur sans dimension qui caractérise la pression maximale du support de travail dans une conduite d'un diamètre donné, à laquelle un fonctionnement à long terme de la conduite à une température de 20°C est réalisable.
Les pressions nominales ont été établies sur la base d'une longue pratique et d'une longue expérience d'exploitation : de 1 à 6300.
La pression nominale d'un pipeline avec des caractéristiques données est déterminée par la pression la plus proche de la pression réellement créée dans celui-ci. Dans le même temps, tous les raccords de canalisation d'une ligne donnée doivent correspondre à la même pression. Le calcul de l'épaisseur de paroi du tuyau est effectué en tenant compte de la valeur de la pression nominale.



















