- Types de produits utilisés
- Inconvénients des tuyaux en polypropylène
- Sélection de peinture
- Avantages de l'utilisation d'ITP
- Sélection des compositions
- Émail alkyde pour caloducs
- Émail acrylique résistant à la chaleur
- Peintures au silicone et en poudre pour métal
- La température dans l'appartement pour la santé des enfants
- Niveaux admissibles de rayonnement électromagnétique
- Niveaux admissibles de rayonnement électromagnétique dans la gamme des fréquences radio (30 kHz-300 GHz)
- Niveaux admissibles de rayonnement ionisant
- Règles et règlements pour l'installation d'une chaudière à gaz dans une maison privée
- Marquage des communications avec divers appareils
- Performances de la batterie
- Caractéristiques des radiateurs en fonte
- Caractéristiques des radiateurs en acier
- Caractéristiques des radiateurs en aluminium
- Caractéristiques des radiateurs bimétalliques
- Propriétés du polypropylène
- Cink Acier
- Informations de lecture
- Facteurs affectant la pression de travail
- Réglementations et normes
- La température dans l'appartement pour la santé d'un adulte
- La couleur du tuyau dans la chaufferie
Types de produits utilisés
Il existe différentes options de produits avec les caractéristiques nécessaires.
Les types de peintures les plus couramment utilisés pour les tuyaux de chauffage et les radiateurs sont les suivants :
- émaux acryliques - durables, résistants, donnant à la surface un éclat brillant. Cependant, leur inconvénient est une odeur désagréable lors du processus de teinture, qui disparaît cependant rapidement;
- émaux alkydes - résistants aux hautes températures, à l'abrasion, le revêtement est très durable et uniforme. Différence dans la richesse des différentes nuances. Mais leur inconvénient majeur est une odeur âcre qui peut durer jusqu'à trois jours et se faire sentir lorsque le chauffage est allumé ;
- les émulsions à dispersion aqueuse doivent être choisies lorsqu'une peinture inodore pour tuyaux de chauffage est requise. Ils sont faciles à appliquer, créent un revêtement uniforme, sèchent rapidement et n'ont pas d'odeur désagréable. Assurez-vous de vérifier que le marquage indique qu'il est destiné à la peinture des radiateurs.
Inconvénients des tuyaux en polypropylène
Avant de procéder à la pose du système, il est nécessaire de prendre en compte les aspects négatifs de l'utilisation de produits de tuyauterie en polypropylène :
- les produits ne peuvent pas être pliés ;
- les raccords pour l'installation de pipelines ne sont pas esthétiques;
- les tuyaux, s'ils sont chauffés à haute température, commencent à s'étirer et à s'affaisser, ce qui les rend peu attrayants;
- pendant les travaux d'installation, il est nécessaire de surveiller la température - sinon les bords surchauffés des tuyaux changeront de paramètre et leur diamètre sera différent de la taille des raccords.
Il est assez difficile de trouver des produits en polypropylène conçus pour la haute pression, car le matériau lui-même ne peut pas être utilisé dans de telles conditions. Par conséquent, le système sera inutilisable pendant un fonctionnement continu.
Sélection de peinture
Pour obtenir le meilleur effet, vous devez choisir des peintures marquées "pour radiateurs" ou similaires.Dans ce cas, la résistance aux températures élevées et la rétention de la couleur sont garanties. Parmi les options peu coûteuses, l'émail PF-115 correspond à la plupart des exigences répertoriées. L'émail à base de silicone résistant à la chaleur KO-168 donne également de bons résultats. Il vaut mieux refuser les peintures à l'huile, car leur couleur s'estompe inévitablement avec le temps, le revêtement appliqué sèche longtemps et pue sensiblement tout ce temps.
Des peintures, adapté aux tuyaux de chauffagesont divisés en 3 types :
- émaux alkydes;
- émaux acryliques;
- compositions en dispersion aqueuse.
Les émaux alkydes sont assez courants en raison du coût le plus abordable. C'est là que s'arrêtent leurs avantages. L'émail alkyde est le plus malodorant de la liste de peintures ci-dessus, même après séchage pendant un certain temps, il dégage une odeur désagréable caractéristique lorsque le système de chauffage est en fonctionnement, s'estompe légèrement avec le temps. Le changement de couleur est particulièrement visible dans le cas d'une coloration en blanc, pour le reste cette caractéristique peut être ignorée. La période de séchage complet est de 24 heures, après 4 à 6 heures, il n'est plus collant.
Les émaux acryliques sont à base de solvants organiques, il y a donc une odeur spécifique lorsque vous travaillez avec eux, mais elle est nettement inférieure à celle du type précédent. Ces peintures ont une très large gamme de couleurs, sèchent en 1 heure, mais nécessitent dans la plupart des cas un apprêt préalable des surfaces métalliques. Les peintures acryliques sont brillantes et mates. Les premiers brillent magnifiquement, tandis que les seconds masquent bien les irrégularités de la surface peinte. Dans le même temps, la luminosité d'origine de la couleur est préservée.
Les peintures à dispersion aqueuse sont considérées comme les plus sûres pour la santé. Dans le même temps, ils ne sont pas inférieurs aux autres en termes de durabilité et de beauté du revêtement. Ce sont des peintures à séchage rapide et inodores.Il suffit de vérifier la présence d'une marque spéciale sur la rive, indiquant la possibilité de l'utiliser pour les appareils de chauffage.
Les peintures les plus populaires actuellement des marques suivantes:
- Heitzcorperlak ;
- peinture de radiateur ;
- Alkyde Elementfarg ;
- Millertemp;
- Mipaterm 600;
- Radiateur;
- Émail d'apprêt UNIPOL;
- Émail VD-AK-1179 ;
- Émail GF-0119.
Quant à la couleur, tout dépend des caractéristiques de l'intérieur, de l'éclairage et du goût esthétique des propriétaires. En plus de la gamme standard, vous pouvez utiliser des peintures métallisées pour l'or, l'argent, le chrome, le bronze, combiner différentes couleurs ou appliquer des motifs. Du point de vue de l'ingénierie thermique, les teintes sombres sont préférables, car elles contribuent à un meilleur transfert de chaleur.
Avantages de l'utilisation d'ITP
Le système d'alimentation en chaleur à quatre tuyaux du point de chauffage central, qui était auparavant utilisé assez souvent, présente de nombreux inconvénients qui sont absents de l'ITP. De plus, ce dernier présente un certain nombre d'avantages très significatifs par rapport à son concurrent, à savoir :
- efficacité due à une réduction significative (jusqu'à 30%) de la consommation de chaleur;
- la disponibilité des appareils simplifie le contrôle à la fois du débit du liquide de refroidissement et des indicateurs quantitatifs d'énergie thermique;
- la possibilité d'influencer de manière souple et rapide la consommation de chaleur en optimisant le mode de sa consommation, en fonction de la météo par exemple ;
- facilité d'installation et encombrement assez modeste de l'appareil, permettant de le placer dans de petites pièces;
- la fiabilité et la stabilité de l'ITP, ainsi qu'un effet bénéfique sur les mêmes caractéristiques des systèmes desservis.
Cette liste peut être poursuivie indéfiniment. Il ne reflète que l'essentiel, en surface, les avantages obtenus en utilisant ITP.On peut y ajouter, par exemple, la possibilité d'automatiser la gestion des ITP. Dans ce cas, ses performances économiques et opérationnelles deviennent encore plus attractives pour le consommateur.
L'inconvénient le plus important de l'ITP, outre les frais de transport et de manutention, est la nécessité de régler toutes sortes de formalités. L'obtention des permis et des approbations appropriés peut être considérée comme une tâche très sérieuse.
Sélection des compositions
Pour que l'effet de l'utilisation de la peinture pour les tuyaux de chauffage soit le meilleur, lors du choix d'une composition dans un magasin, il est préférable d'acheter de la peinture avec l'inscription «pour le chauffage des radiateurs» ou une marque similaire. Un tel mélange colorant résistera aux températures élevées et, lorsqu'il sera chauffé, il ne changera pas de couleur. L'une des options budgétaires est l'émail PF-115, qui répond à presque toutes les exigences de base énumérées ci-dessus. La peinture résistante à la chaleur KO-168, à base de silicone, est également très bonne.
Il est préférable de ne pas utiliser de peinture à l'huile pour les tuyaux chauffés à des températures élevées, car la composition de l'huile va définitivement s'estomper ou jaunir après un certain temps. De plus, les colorants à l'huile ont une odeur persistante désagréable pendant la teinture et le séchage.
Émail alkyde pour caloducs
Cet émail est constitué d'un vernis alkyde (pentaphtalique, glyptal) additionné d'huiles végétales et d'un solvant (white spirit). Il a une grande élasticité et est assez durable. Actuellement, ces émaux sont populaires et sont utilisés dans de nombreux domaines de la peinture.
Les avantages des émaux alkydes incluent :

Cependant, les peintures alkydes n'ont pas que des avantages.Les inconvénients incluent:
- Une odeur piquante, puisque la composition de ces émaux comprend du white spirit. L'odeur persiste plusieurs jours. Il est également possible qu'il apparaisse après le premier démarrage du système de chauffage.
- Longue durée de séchage complet (24-36 heures), ce qui augmente le temps de travail de peinture.
L'émail alkyde PF-223 convient parfaitement comme peinture pour les tuyaux de chauffage, le PF-115 peut également être utilisé pour un système de chauffage.
Émail acrylique résistant à la chaleur
La peinture pour tuyaux inodore est un émail acrylique. Cet émail, du fait qu'il n'a pas d'odeur piquante, est un matériau de peinture et de vernis idéal pour les travaux effectués à l'intérieur des locaux résidentiels. La surface peinte acquiert une douceur absolue, rappelant tactilement le plastique.
Étant donné que tous les émaux acryliques ne résistent pas à la chaleur, lors de l'achat, vous devez lire attentivement les informations concernant la plage de température d'utilisation. La valeur minimale pour l'utilisation de ces émaux est de 80 ºС.

Un avantage significatif de ces peintures est leur temps de séchage - pour la première couche, la valeur est de dix minutes à une heure et de une à deux heures pour la seconde. Pour obtenir un résultat de haute qualité, il est nécessaire d'apprêter la surface à peindre. Lors de l'exécution des travaux, il est nécessaire d'éviter d'avoir de l'humidité sur la surface à peindre.
La consistance de l'acrylique ressemble à de la crème sure de densité moyenne, elle ne s'étale pas, ce qui élimine la possibilité de bavures. Comme indiqué ci-dessus, cet émail doit être appliqué sur la surface préalablement apprêtée en deux couches.La violation de la technologie de peinture entraîne une détérioration significative de sa qualité.
Le seul inconvénient de l'utilisation de ce matériau est la faible résistance aux contraintes mécaniques.
Peintures au silicone et en poudre pour métal
Ces deux types de peintures sont les plus résistantes aux hautes températures.
Si le système de chauffage est systématiquement exposé à une surchauffe, la peinture au silicone est exactement ce qu'il faut pour peindre les tuyaux de chauffage. Après tout, ce revêtement est garanti pour résister à un chauffage jusqu'à 350 ºС. Cette peinture est constituée de résine de silicone avec la participation de solvants aqueux. Le brillant semi-mat est une caractéristique de la couche séchée de cette peinture.

La peinture au silicone est sans prétention lors de la peinture - elle ne nécessite pas d'apprêt, elle est appliquée directement sur le métal. Résistant aux influences extérieures. Durable. L'inconvénient est le prix élevé.
La peinture en poudre est la plus stable et la plus durable des peintures et des vernis à l'heure actuelle. Utilisé en milieu industriel.
La température dans l'appartement pour la santé des enfants
О¿ÃÂøüðûÃÂýÃÂù ÃÂõüÿõÃÂðÃÂÃÂÃÂýÃÂù ÃÂõöøü ò úòðÃÂÃÂøÃÂõ ÃÂòûÃÂõÃÂÃÂàþôýøü ø÷ ýõþñÃÂþôøüÃÂàÃÂÃÂûþòøù à¿ÃÂðòøûÃÂýþóþ ÃÂð÷·Ã²Ã¸ÃÂøàôõÃÂõù. ÃÂÃÂþñõýýþ ñþûÃÂÃÂþõ ÷ýðÃÂõýøõ ÃÂõüÿõÃÂðÃÂÃÂÃÂð òþ÷ôÃÂÃÂð ò ôþüõ øüõõàôûàýþòþÃÂþöôÃÂýýÃÂÃÂ.ÃÂàüõÃÂðýø÷ü ÃÂõÃÂüþÃÂõóÃÂûÃÂÃÂøø ôþ úþýÃÂð ýõ ÃÂð÷òøÃÂ, ÿþÃÂÃÂþüàóÃÂÃÂôýøÃÂúø þÃÂõýàÃÂÃÂòÃÂÃÂòøÃÂõûÃÂýàú ÿõÃÂõÿð ÃÂ'ðü ÃÂõüÿõÃÂðÃÂÃÂÃÂ. Ã] ã] °_â ° ° ºãâting ã¿¿¿¿¿¿¿¿¿¿¿½ãããâããâââte ã] ± ã] ãâte ã] ã] ã] ã] ã] ã] ã] °] ° µ ã] ã] àõñÃÂýúð üþöýþ ÿõÃÂõóÃÂõÃÂÃÂ, ð ÃÂÃÂþ ÃÂðúöõ ýõ ýõÃÂÃÂàÿþûÃÂ÷àõóþ ÷ôþÃÂþòÃÂÃÂ.
UN] ÃÂþ üõÃÂõ ò÷ÃÂþÃÂûõýøàòõÃÂÃÂýÃÂàóÃÂðýøÃÂàÃÂõüÿõÃÂðÃÂÃÂÃÂýþù ýþÃÂüàþÿÃÂÃÂúðÃÂÃÂ.
Niveaux admissibles de rayonnement électromagnétique
Niveaux admissibles de rayonnement électromagnétique dans la gamme des fréquences radio (30 kHz-300 GHz)
un rayonnement électromagnétique
En (PPEn) est l'intensité du champ électrique (densité de flux d'énergie) créé en un point donné par chaque source RF EMP ; EPDU (PPEPDU) - intensité de champ électrique admissible (densité de flux d'énergie) Dans les cas où pour le rayonnement de tous Sources d'EMI RF différentes télécommandes installées :
6.4.1.3. Lors de l'installation d'antennes pour la transmission d'objets d'ingénierie radio sur des bâtiments résidentiels, l'intensité des RF EMP directement sur les toits des bâtiments résidentiels peut dépasser les niveaux autorisés établis pour la population, à condition que les personnes qui ne sont pas professionnellement impliquées dans l'exposition aux RF EMP ne soient pas autorisées rester sur les toits avec les émetteurs en marche.Sur les toits où sont installées des antennes émettrices, il doit y avoir un marquage approprié indiquant la limite où les personnes ne sont pas autorisées à rester avec les émetteurs en fonctionnement. 6.4.1.4. Les mesures du niveau de rayonnement doivent être effectuées à condition que la source EMP fonctionne à pleine puissance aux points de la pièce les plus proches de la source (sur les balcons, les loggias, près des fenêtres), ainsi que pour les produits métalliques situés dans les locaux , qui peuvent être des répéteurs EMP passifs et, lorsqu'ils sont complètement déconnectés, des appareils électroménagers qui sont des sources d'EMI RF. La distance minimale par rapport aux objets métalliques est déterminée par le mode d'emploi de l'instrument de mesure. Les mesures des interférences électromagnétiques RF dans les locaux résidentiels provenant de sources externes doivent être effectuées avec les fenêtres ouvertes. 6.4.1.5. Les exigences de ces règles sanitaires ne s'appliquent pas aux effets électromagnétiques de nature aléatoire, ainsi qu'à ceux créés par des objets d'ingénierie radioélectriques émetteurs mobiles. 6.4.1.6. Le placement de toutes les installations radio émettrices situées dans des bâtiments résidentiels, y compris les stations de radio amateur et les stations de radio fonctionnant dans la bande 27 MHz, est effectué conformément aux exigences d'hygiène pour le placement et le fonctionnement des communications radio mobiles terrestres.
6.4.2. Niveaux admissibles de rayonnement électromagnétique de fréquence industrielle 50 Hz 6.4.2.1. L'intensité du champ électrique de fréquence industrielle 50 Hz dans les locaux d'habitation à une distance de 0,2 m des murs et des fenêtres et à une hauteur de 0,5 à 1,8 m du sol ne doit pas dépasser 0,5 kV / m. 6.4.2.2.L'induction d'un champ magnétique de fréquence industrielle 50 Hz dans des locaux d'habitation à une distance de 0,2 m des murs et des fenêtres et à une hauteur de 0,5 à 1,5 m du sol et ne doit pas dépasser 5 μT (4 A / m). 6.4.2.3. Les champs électriques et magnétiques de fréquence industrielle 50 Hz dans les locaux résidentiels sont évalués avec des appareils électroménagers complètement déconnectés, y compris des dispositifs d'éclairage locaux. Le champ électrique est évalué avec l'éclairage général complètement éteint, et le champ magnétique est évalué avec l'éclairage général complètement allumé. 6.4.2.4. L'intensité du champ électrique de fréquence industrielle 50 Hz sur le territoire du développement résidentiel provenant de lignes électriques aériennes de courant alternatif et d'autres objets ne doit pas dépasser 1 kV / m à une hauteur de 1,8 m de la surface de la terre.
Niveaux admissibles de rayonnement ionisant
6.5.1. Le débit de dose effectif de rayonnement gamma à l'intérieur des bâtiments ne doit pas dépasser le débit de dose dans les zones ouvertes de plus de 0,2 µSv/h. 6.5.2. L'activité volumique d'équilibre équivalente annuelle moyenne des produits de filiation du radon et du thoron dans l'air intérieur EROARn +4,6 EROATn ne doit pas dépasser 100 Bq/m3 pour les bâtiments en construction et reconstruction et 200 Bq/m3 pour les bâtiments exploités.
7.1. Le rejet de produits chimiques nocifs provenant des matériaux de construction et de finition, ainsi que des matériaux utilisés pour la fabrication de meubles encastrés, ne doit pas créer de concentrations dans les locaux résidentiels qui dépassent les niveaux standard établis pour l'air atmosphérique dans les zones peuplées. 7.2. Le niveau d'intensité du champ électrostatique à la surface des matériaux de construction et de finition ne doit pas dépasser 15 kV/m (à une humidité relative de l'air de 30 à 60 %). 7.3.L'activité spécifique effective des radionucléides naturels dans les matériaux de construction utilisés dans les bâtiments en construction et en reconstruction ne doit pas dépasser 370 Bq/kg. 7.4. Le coefficient d'activité thermique des sols ne doit pas dépasser 10 kcal/sq. m heure deg.
Règles et règlements pour l'installation d'une chaudière à gaz dans une maison privée
Le choix du lieu d'installation d'une chaudière à gaz dépend de sa puissance :
- avec une puissance allant jusqu'à 60 kW, l'installation est possible dans la cuisine (sous réserve de certaines exigences);
- de 60 kW à 150 kW - dans une pièce séparée, quel que soit l'étage (sous réserve de l'utilisation du gaz naturel, ils peuvent également être installés au sous-sol et au sous-sol);
- de 150 kW à 350 kW - dans une pièce séparée au premier ou au sous-sol, dans une annexe et un bâtiment séparé.
Cela ne signifie pas qu'une chaudière de 20 kW ne peut pas être installée dans une chaufferie séparée. Vous pouvez, si vous le souhaitez, rassembler tous les systèmes de survie en un seul endroit. C'est juste le volume de locaux, il y a des exigences. La taille minimale d'une chaufferie dans une maison privée devrait être de:
- pour les chaudières d'une puissance allant jusqu'à 30 kW, le volume minimum de la pièce (pas la surface, mais le volume) doit être de 7,5 m3;
- de 30 à 60 kW - 13,5 m3 ;
- de 60 à 200 kW - 15 m3.
Uniquement dans le cas de l'installation d'une chaudière à gaz dans la cuisine, d'autres normes s'appliquent - le volume minimum est de 15 mètres cubes et la hauteur du plafond est d'au moins 2,5 m.

Option d'installation pour une chaudière à gaz murale - jusqu'au mur d'au moins 10 cm
Pour chaque option de chambre pour chaudière à gaz il y a certaines exigences. Certains d'entre eux sont communs:
Toute chaufferie dans une maison privée doit avoir de la lumière naturelle.De plus, la surface des fenêtres est normalisée - au moins 0,03 m2 de vitrage doit tomber sur 1 m3 de volume
Veuillez noter qu'il s'agit des dimensions du verre. De plus, la fenêtre doit être articulée, ouverte vers l'extérieur.
La fenêtre doit avoir une fenêtre ou une imposte - pour une ventilation d'urgence en cas de fuite de gaz.
Ventilation obligatoire et évacuation des produits de combustion par la cheminée
Les gaz d'échappement d'une chaudière de faible puissance (jusqu'à 30 kW) peuvent être conduits à travers le mur.
L'eau doit être raccordée à la chaufferie de tout type (alimenter le système si nécessaire) et à l'égout (évacuation du caloporteur).
Une autre exigence générale qui est apparue dans la dernière version de SNiP. Lors de l'installation d'équipements à gaz pour l'alimentation en eau chaude et le chauffage d'une capacité supérieure à 60 kW, il est nécessaire système de contrôle de gaz, qui, en cas de déclenchement, arrêtera automatiquement l'alimentation en gaz.

S'il y a une chaudière et une chaudière de chauffage, lors de la détermination de la taille de la chaufferie, leur puissance est additionnée
D'autres exigences diffèrent selon le type de chaufferie.
Marquage des communications avec divers appareils
Dans le cas où le contenu des communications serait particulièrement agressif, des anneaux d'avertissement leur sont appliqués dans l'une des trois couleurs suivantes : le rouge correspond à l'inflammabilité, à l'inflammabilité et à l'explosivité ; couleur jaune - dangers et nocivité (toxicité, radioactivité, capacité à provoquer divers types de brûlures, etc.); la couleur verte avec une bordure blanche correspond à la sécurité du contenu interne. La largeur des anneaux, la distance entre eux, les méthodes d'application sont normalisées par GOST 14202-69.
Le marquage du réseau est possible à l'aide d'autocollants.Dans le cas où l'autocollant contient du texte, il est fait dans une police clairement reconnaissable, sans symboles, mots, abréviations inutiles, dans la syllabe accessible maximale. Les polices sont conformes à GOST 10807-78.
Des autocollants sont également réalisés sous la forme de flèches indiquant le sens d'écoulement de la substance à l'intérieur du tuyau. Les flèches sont également normalisées en termes de taille
La désignation sur les flèches est différenciée : "substances inflammables", "explosifs et dangereux pour le feu", "substances toxiques", "substances corrosives", "substances radioactives", "attention - danger !", "inflammable - comburant", "allergique substance ". La couleur des flèches, ainsi que les inscriptions, sont appliquées en noir ou blanc, afin d'obtenir le plus grand contraste par rapport au revêtement principal du tuyau. Avec une composante de communication particulièrement dangereuse, les autocollants sont réalisés sous forme de panneaux d'avertissement (en plus des anneaux de couleur)
Les panneaux sont de forme triangulaire avec une image noire sur fond jaune.
Avec une composante de communication particulièrement dangereuse, les autocollants sont réalisés sous forme de panneaux d'avertissement (en plus des anneaux de couleur). Les panneaux sont de forme triangulaire avec une image noire sur fond jaune.
Important!
Dans les installations de plomberie à eau chaude et dans le cas du transport d'essence au plomb, les inscriptions doivent être blanches.
Si le contenu du pipeline peut endommager la désignation de couleur, changer sa teinte, des boucliers spéciaux sont utilisés comme marquages supplémentaires, qui sont de nature informative, numérique et alphabétique. Les exigences pour les graphismes des boucliers sont identiques à celles des autocollants. Les caractéristiques dimensionnelles des boucliers correspondent aux caractéristiques des flèches.Les panneaux d'étiquetage doivent être situés dans des endroits clairement visibles, si nécessaire, éclairés par un éclairage artificiel sans interférence pour être vus par le personnel de maintenance.
Performances de la batterie
L'abondance de divers radiateurs de chauffage qui ont inondé le marché de la plomberie moderne incite littéralement les consommateurs à remplacer les équipements de chauffage en fonte moralement obsolètes.
Les critères de sélection sont avant tout :
- Matériel,
- pression de service,
- passeport puissance thermique,
- apparence.
Dans le même temps, les éventuelles difficultés de fonctionnement de l'appareil de chauffage acheté dans le cadre d'un système de chauffage central domestique imprévisible ne sont pas du tout prises en compte. Les fabricants étrangers de beaux radiateurs en aluminium ou en acier ne sont pas du tout à l'abri des coups de bélier lorsque la pression dans les batteries de chauffage grimpe à 20-30 atm. corrosion des cavités internes avec de l'eau libérée pendant six mois, à partir de la formation de gaz dans les radiateurs en aluminium lors de l'écoulement d'un liquide de refroidissement contenant des impuretés de cuivre et des changements brusques de température. Ils n'ont tout simplement pas ces problèmes, ce que l'on ne peut pas dire des systèmes de chauffage de nos immeubles de grande hauteur.

Caractéristiques des radiateurs en fonte
- inertie à la mauvaise qualité du liquide de refroidissement;
- pression de travail - 9 atm. sertissage - 15 atm.;
- résister à une température de liquide de refroidissement de 120 0 С;
- inconvénients - peur des coups de bélier.
Caractéristiques des radiateurs en acier
- travail - jusqu'à 10 atm.;
- température du liquide de refroidissement - jusqu'à 120 0 С;
- bien régulé par une vanne thermique ;
- inconvénient - résistant à la corrosion.
Caractéristiques des radiateurs en aluminium
- travail - jusqu'à 6 atm. mais pour les structures renforcées - jusqu'à 10 atm.;
- bien régulé par une vanne thermique ;
- l'inconvénient est la susceptibilité à la corrosion électrochimique et à la formation de gaz, ce qui conduit à la formation de poches d'air.
Caractéristiques des radiateurs bimétalliques
- travail - jusqu'à 20 atm. pour les structures renforcées - jusqu'à 35 atm.;
- bonne résistance à la corrosion;
- température du liquide de refroidissement - plus de 120 0 С.
C'est important! Si vous allez acheter de nouveaux radiateurs, n'hésitez pas à contacter votre organisme d'habitation et de services communaux pour connaître exactement les valeurs des pressions de travail et d'essai dans votre logement. Une fois par an, il est soumis, supérieur à celui de travail, pour clarifier les faiblesses du système. Il peut être supérieur à celui autorisé pour votre nouveau radiateur.
Il peut être supérieur à celui autorisé pour votre nouveau radiateur.
- Vous en avez assez des chauffe-eau à baril ? Achetez une chaudière plate !
- Petit tour d'horizon de quelques modèles de sèche-serviettes à eau
- Fabricants de radiateurs tubulaires
- Un peu sur les radiateurs en aluminium
Propriétés du polypropylène
Pour savoir à quelle pression les tuyaux en polypropylène pour le chauffage ou l'alimentation en eau peuvent résister, vous devez disposer d'informations sur les propriétés inhabituelles de ce matériau.
En raison des caractéristiques structurelles des canalisations en polypropylène, elles réagissent fortement aux changements brusques de température des liquides qui les traversent. Lorsque de l'eau excessivement chauffée agit sur les tuyaux, ils se dilatent. Lorsque la température baisse, les produits retrouvent leur état d'origine. Parfois, une telle lacune devient un salut pour les communications.
Dans le cas où un pipeline en plastique est posé sous terre dans des conditions extérieures, il ne peut pas être complètement protégé du gel. Pour la plupart des autoroutes, le gel est un désastre.

Mais avec les systèmes en polypropylène, tout est différent - si l'eau se transforme en glace dans les tuyaux faits de ce matériau, rien de mal ne leur arrive, car ils se dilatent simplement. Après le début d'un dégel, l'eau dégèle et la structure reprend sa position d'origine.
Lors de l'utilisation de ce produit de tuyau dans des bâtiments à plusieurs étages, il est nécessaire de prendre en compte le nombre d'atmosphères qu'un tuyau en polypropylène peut supporter. Le fait est que dans de telles maisons, il existe une différence dans ce paramètre au premier et au dernier étage, mais elle est faible. Par exemple, ce chiffre entre le premier et le cinquième étage ne sera que de 177 Pa.
Ainsi, il s'avère qu'au dernier étage d'un immeuble de grande hauteur, la pression sera toujours légèrement plus élevée que sur les autres. La différence de pression n'est pas assez grande pour être perceptible. Mais dans les gratte-ciel, ils installent des pompes spéciales conçues pour stabiliser la pression à tous les étages.
Cink Acier
Un tel matériau est beaucoup plus résistant à la corrosion, ce qui prolonge considérablement le temps standard. Le facteur destructeur le plus important ici n'est qu'un joint soudé si, pour une raison inconnue, l'installation est réalisée par soudage. Sur la photo - tuyaux en acier pour l'eau et le gaz.
En fait, cette méthode d'installation est interdite: le zinc brûle complètement pendant le soudage, respectivement, les joints restent complètement sans défense contre la rouille.
Les produits en acier galvanisé prolifèrent beaucoup plus lentement. Premièrement, la douceur du mur est beaucoup plus élevée, et deuxièmement, les "déchets" réels - particules de rouille, de tartre, de sable sont beaucoup moins nombreux.Mais si les robinets du système d'alimentation en eau ne s'ouvrent pas complètement et qu'un flux d'eau suffisamment dense n'est pas créé, du tartre et du sable peuvent s'accumuler.
La durée de vie du produit selon GOST est la suivante :
- les colonnes montantes et les revêtements des systèmes d'alimentation en eau froide fonctionnent depuis 30 ans ;
- la durée de vie des tuyaux de chauffage en acier dans une maison avec un système fermé est de 20 ans;
- un système de chauffage ouvert durera 30 ans.
Il est permis de construire un gazoduc à partir de tuyaux galvanisés. Mais il y a quand même une nuance : contrairement aux systèmes de plomberie, le gazoduc doit être monobloc, ce qui implique des soudures. Et le composé détruit le zinc à la jonction. D'autre part, les conduites de gaz, ainsi que les conduites d'eau, sont recouvertes d'une peinture polymère, ce qui empêche la corrosion.
En fait, les tuyaux en acier galvanisé pour la plomberie et le chauffage ont une durée de vie de 50 à 70 ans.
Informations de lecture
- Le nom du fabricant vient généralement en premier.
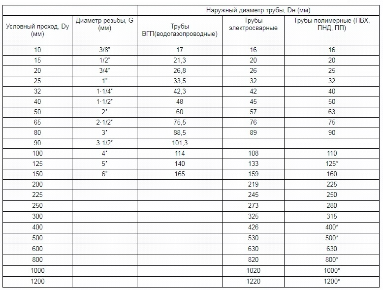
- Vient ensuite la désignation du type de matériau à partir duquel le produit est fabriqué : PPH, PPR, PPB.
- Sur les produits de tuyauterie, la pression de service doit être indiquée, qui est indiquée par deux lettres - PN, - et des chiffres - 10, 16, 20, 25.
- Plusieurs chiffres indiquent le diamètre du produit et l'épaisseur de paroi en millimètres.
- Sur les modifications domestiques, la classe de fonctionnement conformément à GOST peut être indiquée.
- Le maximum autorisé.
En plus indiqué :
- Documents réglementaires selon lesquels les produits de tuyauterie sont fabriqués, réglementations internationales.
- Marque de qualité.
- Informations sur la technologie par laquelle le produit est fabriqué et la classification selon MRS (résistance minimale à long terme).
- 15 chiffres contenant des informations sur la date de production, le numéro de lot, etc. (les 2 derniers sont l'année de fabrication).
Et maintenant, arrêtons-nous plus en détail sur les caractéristiques les plus importantes des tuyaux en polypropylène indiquées dans le marquage.
Facteurs affectant la pression de travail
La valeur de la pression de liquide de refroidissement dans les immeubles de grande hauteur dépend de nombreuses circonstances qui contribuent directement ou indirectement à l'écart par rapport à la valeur nominale prescrite par les normes.
Ceux-ci inclus:
- le degré de détérioration des équipements de la chaufferie ;
- enlèvement d'un bâtiment résidentiel de la chaufferie;
- l'emplacement de l'appartement, à quel étage et à quelle distance de la contremarche il se trouve. Dans un appartement situé même à côté de la colonne montante, la pression dans la pièce d'angle sera plus faible, car le point extrême de la canalisation de chauffage s'y trouve le plus souvent;
- dimensions des canalisations non autorisées par les riverains. Par exemple, lorsqu'un tuyau d'un diamètre supérieur à celui du tuyau d'admission est installé dans un appartement, la pression totale dans le système diminuera et lorsque des tuyaux d'un diamètre inférieur seront installés, elle augmentera;
- le degré d'usure des batteries de chauffage.
Réglementations et normes
Analysons maintenant les règles régissant les couleurs et les méthodes de peinture des conduits d'incendie, en particulier selon GOST 12.4.026.
Selon ce GOST, la peinture des équipements n'autorise pas le rouge.
Mais ici, cher lecteur, vous devriez être guidé par d'autres documents normatifs. Nous le présentons ci-dessous.
GOST R 12.4.026
Ne pas utiliser de teinte de couleur rouge pour les agents extincteurs ne nécessitant pas d'identification (conduites d'eau, gicleurs, détecteurs, etc.).
SP 5.13130.2009
- Le marquage de couleur des canalisations et la peinture d'identification doivent être effectués conformément aux normes GOST 14202 et R 12.4.026.
- Les tuyaux AUP ont des marquages alphanumériques ou numériques selon leur schéma hydraulique.
- Les écrans indiquant le mouvement de l'agent extincteur sont toujours rouges.
VSN 25-09.67-85
- La peinture des sirènes, des serrures autodestructrices, des buses d'échappement n'est pas autorisée.
- La peinture des canalisations technologiques et autres raccords dans les installations où il n'y a pas d'exigences esthétiques particulières est effectuée conformément aux normes GOST 14202-69 et 12.4.026-76.
- Lorsqu'il existe des exigences particulières pour la conception des raccords et des buses, ils sont peints conformément aux exigences. Selon GOST 9.032-74, la classe de couverture de ces installations n'est pas inférieure à VI.
La température dans l'appartement pour la santé d'un adulte
Н¾ÃÂüðûÃÂýðàÃÂõüÿõÃÂðÃÂÃÂÃÂð òþ÷ôÃÂÃÂð ò öøûøÃÂõ ÷ðòøÃÂøàþàýõÃÂúþûÃÂúøàÃÂðúÃÂþÃÂþò: þàòÃÂõüõýภóþôð, ÃÂõóøþýð ÿÃÂþöøòðýøÃÂ, ÃÂõÃÂýøÃÂõÃÂúøàþÃÂþñõýýþÃÂÃÂõù öøûÃÂÃÂ. ÃÂõüðûþòðöýÃÂü úÃÂøÃÂõÃÂøõü ÃÂòûÃÂÃÂÃÂÃÂàø ÃÂÃÂñÃÂõúÃÂøòýÃÂõ ÿÃÂõôÿþÃÂÃÂõýøàÃÂõûþòõúð, ýð úþÃÂþÃÂÃÂõ þý ø þÿøÃÂð ãâµã] ã] ã] ã] · ãâ´uler àÃÂþ öõ òÃÂõüàÃÂÃÂÃÂðýþòûõýýÃÂõ ÃÂÿõÃÂøðûøÃÂÃÂðüø ýþÃÂüàÿÃÂþòõÃÂõýàòÃÂõüõýõü ø þÃÂýþòðýàýð ÃÂõúþüõýôðÃÂøÃÂàòÃÂðÃÂõù. ÃÂõÃÂþñûÃÂôõýøõ ÃÂÃÂøàÿÃÂðòøû üþöõàÿÃÂøòõÃÂÃÂø ú ÿÃÂþñûõüðü ÃÂþ ÷ôþÃÂþòÃÂõü.
ÃÂÃÂûø ò ÿþüõÃÂõýøø ÃÂûøÃÂúþü öðÃÂúþ, ÃÂõûþòõú ÃÂÃÂòÃÂÃÂòÃÂõàòÃÂûþÃÂÃÂàø ÿþòÃÂÃÂõýýÃÂàÃÂÃÂþüûÃÂõüþÃÂÃÂÃÂ. ÃÂ÷-÷ð ÿþÃÂõÃÂø òûðóø úÃÂþòàÃÂÃÂðýþòøÃÂÃÂàóÃÂÃÂõ, ø ÃÂõÃÂôÃÂõ ÃÂðñþÃÂðõààÿþòÃÂÃÂõýýþù ýðóÃÂÃÂ÷úþù. ã ûÃÂôõù, øüõÃÂÃÂøàÃÂõÃÂôõÃÂýþ-ÃÂþÃÂÃÂôøÃÂÃÂÃÂõ ÷ðñþûõòðýøÃÂ, ÃÂÃÂÃÂôÃÂðõÃÂÃÂàÃÂþÃÂÃÂþÃÂýøõ.
ÃÂõÃÂõþÃÂûðöôõýøõ ò ÃÂòþàþÃÂõÃÂõôàòÃÂ÷ÃÂòðõàÿþÃÂÃÂþÃÂýýÃÂõ ÃÂõÃÂÿøÃÂðÃÂþÃÂýÃÂõ ÷ðñþûõòðýøàø ýðÃÂÃÂÃÂõýø àÃÂõÿûþþñüõýð, ð ÃÂðúöõ þÃÂÃÂøÃÂðÃÂõûÃÂýþ òûøÃÂõàýð ýõÃÂòýÃÂàÃÂøÃÂÃÂõüàÃÂõûþòõúð.
ÃÂûàÿþôôõÃÂöðýøàÃÂþÃÂþÃÂõóþ ÃÂðüþÃÂÃÂòÃÂÃÂòøàúþüýðÃÂàýõ ÃÂûõôÃÂõàÿõÃÂõóÃÂõòðÃÂÃÂàøûø ÿõÃÂõþÃÂûðö ôðÃÂàñþûÃÂÃÂõ ýþÃÂüàÃÂõüÿõÃÂðÃÂÃÂÃÂàò úòðÃÂÃÂøÃÂõ.àâõüÿõÃÂðÃÂÃÂÃÂýþù ýþÃÂüþù ò öøûÃÂàÿþüõÃÂõýøÃÂàôûàÃ] · ã] ã]àôûàÃÂþÃÂÃÂðýõýøàúÃÂõÿúþóþ, ÷ôþÃÂþòþóþ ÃÂýð ø ôûàÿÃÂþÃÂøûðúÃÂøúø ñõÃÂÃÂþýýøÃÂàò ÃÂÿà° ã]
La couleur du tuyau dans la chaufferie
Existe-t-il des règles pour peindre des tuyaux dans une chaufferie station?
Parlons de la façon dont la peinture des canalisations de la chaufferie est effectuée.
Comme nous l'avons compris, selon GOST 14202, la désignation de la buse dépend de la substance qu'elle contient, et non de l'objet de l'opération.

Mais dans la chaufferie, les conduites d'eau sont presque toujours marquées de trois signes - vapeur, gaz ou eau (rouge, jaune et vert, respectivement). Ils sont le plus souvent utilisés comme agent extincteur.
C'est-à-dire que le marquage de couleur des canalisations dans la chaufferie est le même que dans le tableau GOST ci-dessus.

Attention! La couleur de l'autocollant correspond toujours à la couleur de la peinture d'identification.
Il est également important de faire la distinction entre les conduites d'eau de retour et d'alimentation.
Il est également important de faire la distinction entre les conduites d'eau de retour et d'alimentation. Mais, si vous suivez GOST 14202, la couleur des canalisations de la station de pompage PT est la même, quelle que soit l'admission ou le retour de la substance
Mais, si vous suivez GOST 14202, la couleur des canalisations de la station de pompage PT est la même, quelle que soit l'admission ou le retour de la substance.
Pour distinguer le serveur de l'inverse, utilisez des marqueurs indiquant le sens du mouvement et une inscription supplémentaire. Par exemple, « FOURNITURE D'EXTINCTEUR D'INCENDIE ».
La même règle s'applique à la station de pompage, aux points de chauffage central et individuel.

Le résultat est le suivant : peu importe que de l'eau chaude ou froide coule dans les tuyaux.Nous peignons toujours les conduites d'eau d'alimentation et de retour en vert.
Les conduites de chauffage sont également peintes de différentes couleurs en fonction du type de composant chauffant.

















